In response to the “Toronto has the world’s slowest streetcars” meme floating around on line and among some transit advocates, various proposals were floated to speed up our system.
One of these is the idea that there are too many streetcar stops, and if only cars didn’t pause so often for passengers, we could have faster streetcar service. The TTC’s euphemism for this is “stop balancing”.
A chart accompanying the TTC report shows the speed and stop spacing values for several transit systems. Toronto is down in the left bottom corner with the closes stops and the slowest speed. However, Melbourne’s trams are in the same range as Toronto for stop spacing, but they operate faster. Nowhere does the TTC examine what differences might apply to Melbourne lines, nor for the other systems that are both faster and with wider stop spacing.
Although there are some outliers, the bulk of the data points are in the 400-500m range, but this does not examine route characteristics. The original study of slow Melbourne streetcars by Dr. Jan Scheurer commented about Toronto that “CBD-typical speeds seem to extend across the entire city” [p. 8]. Riders who sit in traffic jams on King or Queen Street West, or on Queen Street in the Beach are quite familiar with this problem. Toronto streetcars do not emerge from the core to fly into nearby suburbs.
There is also the issue that Toronto streetcars used to move faster both with the CLRV fleet and the PCCs that preceded them. Something beyond stop spacing is at work even on routes with dedicates rights-of-way. It is easy to go after stops as a source of delay because this would not require an examination of TTC operating practices and the City’s lack of aggressive transit signal priority. Indeed, during the last round of major works on St. Clair, it was discovered that TSP was not actually working in many locations.

For the sake of argument, assume that the delays to TTC streetcars come from closely spaced stops. Any rider knows that there are other factors including slow operation through junctions, traffic signals that do not give streetcars priority and congestion both in the core and the outer parts of many routes.
The premise is that fewer stops will speed service benefiting those already on streetcars at the expense of those who have to walk further to a stop. This is a bogus argument regardless of stop spacing. There will almost always be more riders passing any individual stop who would “benefit” from its elimination than riders who use the stop. The same argument could be made for some subway stations.
Here are the TTC’s Board-approved stop spacing standards. The target range of 300-400m for local surface routes implies an average stop spacing of 350m giving some leeway to adjust to conditions.

(To give readers a sense of distance, a subway station platform is about 150m long, and so a 300m walk is from one end of a station platform to the other and return.)
Streetcar route averages lie roughly in the 250m-325m range below the standard’s midpoint of 350m. Some stop trimming has already occurred to eliminate very closely spaced stops.
Note that 508 Lake Shore shows the same average as 507 Long Branch even though the 508 travels into the core. The reason is that the stop spacing between Humber Loop and Roncesvalles is quite wide, and this offsets the closer spacing on King Street in the average.
| Route | Termini | Stop Spacing (m) |
|---|---|---|
| 501 Queen | Neville-Roncesvalles (*) | 241 |
| Roncesvalles-Humber | 448 | |
| 503 Kingston Road | Victoria Park-York | 284 |
| 504 King | Dundas West Stn-Distillery (*) | 283 |
| Dufferin Loop-Broadview Stn (*) | 280 | |
| 505 Dundas | Dundas West Stn-Broadview Stn (*) | 278 |
| 506 Carlton | High Park-Main Station (*) | 260 |
| 507 Long Branch | Long Branch Loop-Humber Loop | 312 |
| 508 Lake Shore | Long Branch Loop-Distillery | 306 |
| 509 Harbourfront | Exhibition-Union Station | 373 |
| 510 Spadina | Spadina Station-Queens Quay | 293 |
| 511 Bathurst | Bathurst Station-Exhibition Loop | 328 |
| 512 St. Clair | Gunns Loop-St. Clair Station | 270 |
Notes:
- 501 Queen stop data are taken from the pre-Ontario Line construction with service running directly across Queen from Church to York.
- Stops near Dundas West and Broadview Stations that are used primarily by overnight services have not been included in the stop counts for 504 King and 505 Dundas.
- 506 Carlton stop data are taken from the through route before construction diversion around Bay & College.
Some Basic Math
If one wants to achieve a major saving from stop time, many stops have to be cut on a route. One or two will annoy their regular users, but the change in travel time, if any, will be quite small and disappear into the background noise of other variations.
The basic calculation is simple: if a route now has an average spacing of 300m, and you want to raise this to 400m, then one quarter of the stops must vanish. The bigger the change in stop spacing, the more stops must be eliminated.
The numbers of stops for various spacings per 1km are shown below:
- 250m: 4.0
- 300m: 3.3
- 350m: 2.9
- 400m: 2.5
- 450m: 2.2
- 500m: 2.0
With the TTC standard of 300-400m, 350m falls half way along, or 2.9 stops/km. Just to bring routes now at a 250m spacing (4.0/km) to that level would require a reduction of about 1.1 stop/km, or about 12 stops each way on a route the length of 505 Dundas (11km).
If the goal is to move to a 400-500m standard, this means the new target average would be 450m. A route whose average is now 250m would lose almost half its stops. This would be extremely difficult as routes do not have that many “unimportant” closely-space stops to begin with.
The effect would not be on a few riders at a few minor stops, but on many riders all along the routes. They would face extra walking distance lengthening overall travel times, not to mention accessibility issues for those with mobility challenges.
A simple, but important, number is not the space between adjacent stops, but the space that would result if any stop were removed. (In other words, the space between stop N and stop N±2.) In some cases, the existing TTC standard would still be met, but in many the gap between stops would be well outside the standard. For example, if three stops are each 300m apart, getting rid of the middle one creates a 600m gap, well above the standard.
Stops cannot simply be re-spaced to maintain uniformity or iron out problems with stop elimination. For pedestrian safety, stops are almost always at signaled intersections or at least at pedestrian crosswalks so that riders can cross safely to/from stops on the opposite side of the street. The existing street layout, signal patterns and major destinations such as transfer points determine where stops might go. Toronto, unlike Manhattan, does not have a repeating grid as a base for designing standards.
In the sections that follow, I will turn to a few sample routes. There are occasional closely-spaced stops, some with good reason, but not many are ripe for plucking without adopting a considerable increase in the standard and substantial cut to the number of stops. This should be a conscious policy debate, not a change buried in a wider review of Service Standards without a clear indication of the effects on routes across the city.
Removing Stops: Introduction
In this section, I review a few routes to show the current stop spacing and which stops would likely to be cut if there were a stronger alignment to the 300-400m spacing standard. One could push for a large standard such as 400-500m, but this would involve cuts of more important stops. This would be constrained by the street layout, traffic signals and transfer points. Those who aspire to make streetcars more “efficient” by cutting stops would do well to consider the real world city and route layout. Assuming that faster travel time, if any, is worth the extra access time to and from stops is simplistic, bad planning.
505 Dundas
The tables below show the eastbound and westbound stop lists for 505 Dundas together with the elapsed distance along the route, the space between adjacent stops, and the “N+2” spacing showing the gap that would be created by removing each stop. First cut candidates for removal are those locations where the N+2 value remains within the 300-400m standard, although these are subject to local considerations such as the density of traffic generators and connections to other routes.
For example, there is a cluster of stops between Brock and Dovercourt where individual locations, but not all of them, could be dropped while staying within the standard. Dufferin is a transfer point and obviously must remain. Here are the effects of various possible removals:
- Sheridan: Leaves a gap of 355m EB from Brock to Dufferin, 337m WB.
- Gladstone: Leaves a gap of 377m EB from Dufferin to Lisgar, 390m WB from Rushholme to Dufferin.
- Chestnut: Leaves a gap of 395m EB from University to Bay, 362m WB
- Mountstephen: Leaves a gap of 370m NB from Dundas to Gerrard, 358m SB. [*]
- Erindale or Danforth SB: Although these are closely spaced, arguments for both of them can be made, especially considering the stop at Danforth is used by buses even if streetcars bypass it in peak periods. [*]
- Jack Layton Way SB: This stop is very close to Gerrard, but in winter is a better stop for access to Bridgepoint Hospital via a clear snow path. The “official” Bridgepoint stop at Langley requires use of a path through the park that is not reliably cleared.
- [*] Full disclosure: These stops are regularly used by me, among many others.
- This analysis does not take into account stop usage.
If all of these were removed (and I am not suggesting that they would be), that would be a total of about 10 stops over a routes that is about 22km long, or about 1/8 of the total stops on the route. Although this would get rid of the “worst offenders”, the resulting average over the route would only move from 278m to 309m EB and 253m to 294m WB. Stop spacing on most of the route would not change.
A higher target average would require more removals, and this would be challenging in some areas given the importance of stops that would remain after the first round of cuts.


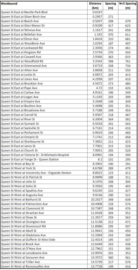
501 Queen
These tables of stop spacing on Queen cover the route from Roncesvalles to Neville. West of Roncesvalles on The Queensway, stops are already further apart, and given the physical infrastructure would be extremely difficult to move. The major problem on that section of the route is the absence of transit priority at signals, farside stops with the “double stop” pattern seen on other routes, and operational restrictions on speed crossing intersections.
Queen has already been through some stop consolidation, and few locations have an “N+2” value below 400m indicating possible stop elimination under the current standard. Possible candidates within that constraint are:
- Abell: Leaves a gap of 403m EB from Sudbury/Gladstone to Dovercourt, 398m WB.
- York: This stop has already been moved in the OL diversion and is now further from University. Whether it will be reinstated on Queen in the normal route remains to be seen.
- Bay: This stop was dropped on the OL diversion, but given that it serves City Hall and is a transfer point to the 19 Bay bus, permanent removal is unlikely.
- Victoria: This stop is very close to Yonge, but it is also the stop for St. Michael’s Hospital. On the OL diversion route it is not used on Richmond or Adelaide.
- The stops at Empire and at Saulter/Bolton are likely to be consolidated to serve the Ontario Line’s Leslieville Station which lies between them.
- Although Logan and Pape are close to Carlaw (a transfer point to 72 Pape), dropping either of them would be borderline considering the level of demand they serve.
Overall, this would lead to about four stops removed each way depending on assumptions. This would raise the average eastbound spacing from 245m to 264m, and westbound from 241m to 270m.


506 Carlton
Few stops on 506 Carlton could be removed without creating a gap larger than 400m. Possible candidates are:
- Borden: Leaves a gap of 383m EB from Bathurst to Augusta, 358m WB.
- Elizabeth: Leaves a gap of 386m EB from University to Bay, 381m WB. (This stop serves the east end of the Toronto General Hospital block and Women’s College Hospital.) Although Bay is close to Yonge, it is a transfer point.
- Marjory: Leaves a gap of 396m EB from Pape to Jones, 406m WB.
With only three candidate stops each way, the change in the routes average spacing would be minimal. Eastbound would rise from 260m to 274m, and westbound from 264m to 279m.


510 Spadina
During the design of 510 Spadina 30 years ago, there was a robust debate about whether its purpose was to speed people from the Bloor subway south to proposed developments in the rail lands, or to serve local neighbourhoods along the line. The result was that stops at Sussex, Willcocks, Nassau and Sullivan were placed between the main crossing streets.
Ever since, they have been the target of those who argue that Spadina has too many stops although the major problems on Spadina arise from a combination of farside stop placement, traffic signal delays, and TTC operating projects at junctions.
Without changing the Service Standards, few changes can be made on Spadina.
- Removing Sussex would produce a 597m gap SB from Spadina Station to Harbord, and 514m NB.
- Removing Willcocks would produce a a 679m gap SB from Harbord to College, and a 646m gap NB.
- Removing Nassau would produce a 567m gap SB from College to Dundas, and a 594m gap NB.
- Removing Sullivan would produce a 496m gap SB from Dundas to Queen, and a 488m gap NB.
The only candidate within the 400m standard is northbound at Richmond where the resulting northbound gap from King to Queen would be 392m. Southbound, only a single stop serves both Queen and Richmond.


512 St. Clair
On St. Clair, there are only a few candidates where the 400m maximum could be preserved:
- Although the stops at Keele and Old Weston are close together, they are separated by a rail underpass and both of them are transfer points.
- There are two intermediate stops between Old Weston and Caledonia (at Hounslow Heath/Silverthorn and at Laughton), but removing either of them would create gaps over 400m.
- Removing the stop at Northcliffe would create a gap of 370m EB to Glenholme, and 365m WB.
- The stops eastbound from Christie to Bathurst are close together, but removing any of them creates a gap over 400m.
- The stop at Bathurst eastbound at the top of the ramp into St. Clair West Station is very close to the eastbound stop farside at Vaughan Road, but it is also a transfer point to the 7 Bathurst bus. If it were removed, passengers making the connection would have to walk west to Vaughan to access the eastbound stop.
- Removing the stop at Tweedsmuir would create a gap between St. Clair West Station and Spadina, but the length is uncertain as the GTFS data give quite different distances between the station and Tweedsmuir (347m EB, 220m WB). The actual distance from Spadina to the station entrance is less than 400m. Removing Tweedsmuir would also affect the 33 Forest Hill bus.
- The stop at Dunvegan (Timothy Eaton Church) has been touted for removal, but this would create a gap of 536m EB from Russell Hill to Avenue Road, and 525m WB.
The existing average stop spacing over the route is 270m eastbound and 264m westbound. Removing three stops each way would increase these values to 305m and 299m respectively.


Moaz: While this isn’t an apples to apples comparison one might ask if the advocates who would remove streetcar stops due to close spacing would advocate to remove subway stops based on the same argument, and which ones they would remove.
Moaz: Perhaps we need a Winter Stops network that better aligns with reliable snow clearance.
LikeLike
I like that comparison chart as it shows well how stop spacing really isn’t the problem. Speeds in Melbourne are faster with the same spacing. Then speeds in Prague are also much faster with wider spacing, but you look at the axis and it’s only 100 metres wider. The “if only we had wider stop spacing like they do in Europe” crowd would see that if we went to that spacing we would actually cut very few stops in the system. Stop spacing isn’t the problem with speed. Full stop. Period. The data proves it.
LikeLike
It bugs me a little that the South Kingsway stop for the 501 Queen was not removed when they removed the original stairway built in the 1950s, and replaced it with a stop next to the northeast cloverleaf at The Queensway & South Kingsway. It is 200m to the streetcar stop at The Queensway & Windermere.
LikeLike