Updated January 23, 2020 at 12:10 pm: The TTC has responded to queries about the acquisition of land for new yards for subway lines 1 and 2. The updates are flagged within the text of the article.
Updated January 27, 2020 at 9:30 am: The section on new streetcars has been corrected to state that 60 more cars is the limit on what the TTC could handle, including the use of Exhibition Loop for storage and the renovation of Harvey Shops at Hillcrest as a carhouse for central routes like 512 St. Clair. Previous text stated that 20 was the limit on fleet growth.
The TTC has released a report detailing its planned spending of the newly-allocated funds from Toronto’s City Building Fund. This will be discussed at the TTC Board meeting on January 27, and will go to Toronto Council for incorporation in the 2020-2029 Capital Budget.
Major changes in capital spending include:
- A return to renewing and upgrading Line 2 Bloor-Danforth as a project for the current decade. This work had been postponed thanks to a lack of funding and, until recently, was replaced with a proposed overhaul of the existing T1 fleet aimed at an eventual lifespan of 40 years. Replacement of the 1960s-era signal system with Automatic Train Control (ATC) has also been restored so that new trains, not to mention the Scarborough extension, can operate under modern technology within this decade.
- Additional funding for capacity enhancement on Line 1 Yonge-University-Spadina.
- A large commitment to bus purchases including electric vehicles.
- Partial renewal of the Wheel-Trans bus fleet.
- Purchase of 20 new streetcars.
Three quarters of the newly-available funding goes to subway renewal, and even then, the subway projects will require additional money to be completed. Many items in the TTC’s 15 Year Capital Plan remain unfunded, and there are obvious opportunities for generous governments to come to the table and fund aspects of the plan.
Line 2 Renewal
When the TTC deferred the projects associated with Line 2 Renewal, they created a potential collapse of that route thanks to aging vehicles and infrastructure. The T1 trains serving Line 2 were delivered between 1995 and 2001, and replacement of them should have begun in the mid-2020s corresponding to their 30 year design life. The alternative plan to extend this by 10-years depended on an as-yet unproven major overhaul. If the TTC has learned anything from its experience with the streetcar fleet, there are limits to the new life that can be breathed into old equipment especially if the overhaul is more cosmetic than a thorough replacement of technical components.
The other major component of Line 2 Renewal is the replacement of the signal system which dates from the mid 1960’s. If this did not get underway within the coming decade, the TTC could be left with a 65 year old signal system on Line 2 and all of the reliability problems that represents as we know from experience on Line 1. The non-ATC territory on Line 1 dates from the early 1950s (from Eglinton south) to the early 1970s (north to Finch), and problems with this technology are a common source of delays. (ATC will be extended “around the U” from St. Patrick to Queen Station within the first quarter of 2020, and the section from Queen to Rosedale will follow later in the year. Completion to Finch is scheduled for 2022.)
An important factor in plans for Line 2 is the timing of the Scarborough Extension originally planned for 2026, but now pushed out to 2029-30 in Provincial plans. This extension should be built and operated with modern trains and signalling technology, but deferral of the Line 2 Renewal would have meant that the extension to Sheppard would have to be built with provision for co-existence of old and new trains and signalling. This is precisely the sort of plan that complicated the Vaughan extension which, astoundingly, did not include ATC in its original design.
The plan now calls for 62 new trains for Line 2 for delivery between 2026 and 2030. This is a full replacement for the existing fleet and considerably exceeds the 46 peak trains now required for the line even allowing for 20% spares making provision for future growth. There is also the matter of additional trains for the Scarborough extension, although these should be funded by Ontario as part of that project. Whether they actually will be is another matter.
The money allocated from the City Building Fund will only pay for one third ($458 million) of the anticipated cost of the new trains. This is a clear invitation for joint funding from other governments.
The T1 fleet will receive a minor overhaul necessary to extend its life until the new trains arrive.
There is an odd description of this project in the report’s recommendations:
$458 million, representing approximately 1/3 of the 10-year cost for 62 trains, to replace the legacy fleet of T1 trains on Line 2 required for delivery in 2026 through 2030, and which will require an additional $122 million to fund the 1/3 cost between 2030 and 2034. [p 3]
It is not clear whether all of the trains are supposed to arrive in Toronto by 2030 (which would fit with the completion of ATC conversion and opening of the Scarborough extension), or in later years as the funding described above implies. The yearly spending breakdown clearly shows the majority of the spending on new Line 2 trains beyond 2029, and this does not fit with the renewal plans. (See chart at the end of the article.)
The ATC project for Line 2 now lies in the same period as the delivery of new Line 2 trains so that by 2030 the trains, the signals, and the extended subway are all running up-to-date technology.
Line 2 will also require a new carhouse on land that the City of Toronto is acquiring (or may already have bought) southwest of Kipling Station, the old Obico Yard. The plan provides for acquisition and design, but not yet construction which is unfunded.
Updated January 23, 2020: In response to a query about the status of the city’s acquisition of Obico Yard, the TTC replied:
Yes it has already been acquired by the City but the market value assessment is being contested so funds are being secured for potential settlement. We’re also in negotiations to secure a second parcel of land to maintain access to the site. [Email from Stuart Green, Jan. 23/20]
Greenwood Shops will require changes to host new 6-car trains similar to the TRs now operating on Line 1. Originally, the plan was for this yard to be the carhouse for the Relief Line as well as for some of the work car fleet. The detailed plans for Greenwood are not included in this report.
Other funding for Line 2 includes a variety of projects in the state of good repair category that were previously unfunded, but most importantly the upgrade of the power supply system which needs both modernization and additional capacity for projected extra load from more trains.
Even with all of the new money, there is still a funding gap to complete all of the work that has been identified.
Line 1 Renewal and Upgrades
The existing TR fleet serving Line 1 does not require replacement within the timeframe of the Capital Plan, but more trains are needed to provide additional capacity on the route. The report allocates $165 million to one third of the cost of 18 trains to be delivered in 2026-2027. Again, this is a clear budget provision for other governments to come to the table with funding.
The compete conversion to ATC in 2022 will allow a reduction in round trip time on Line 1 so that the existing fleet can provide slightly more frequent service, but the proposed additional trains will allow full exploitation of ATC’s capabilities.
This, however, triggers capacity problems with stations, notably at Bloor-Yonge but also at major stations downtown where the flow of passengers to and from platforms will increase with more frequent service. As on Line 2, there is a need to upgrade power supply systems both to bring infrastructure up-to-date and to provide added capacity for more frequent service.
Also, as on Line 2, there is a gap between the funding allocated and the total cost of various projects.
Line 1 will require a new subway yard, and the TTC proposes to acquire land for it in York Region and design the facility. Why this is part of the Toronto City Building Fund spending is a mystery.
Updated January 23, 2020: In response to a query about Toronto paying for a yard that would be on the Richmond Hill extension, a provincial project, the TTC replied:
Referring to page 14 of the report, it is projected that additional vehicles beyond the 18 trains required in 2026 will be needed for growth of TTC’s existing system. As pointed out, the additional trains serving the Line 1 extension into York Region will also require new facilities for storage and maintenance. The TTC and MX are working together to scope requirements both independently and for a joint solution that meets the needs for Line 1. Whether the land can be found to serve future needs of both Line 1 Extension and TTC’s future growth needs remains to be seen but either way we need to budget for land. [Email from Stuart Green, Jan. 23/20]
Line 4 ATC
The plan include provision of ATC on Line 4 Sheppard. The trains there are ATC-capable, but software changes are required for the 4-car consists to move over the rest of the subway system which is designed for 6-car trains. This becomes an issue once ATC on Line 1 extends north of Davisville Yard where Line 4 trains are serviced.
Buses
The plan allocates $772 million to the purchase of buses and associated infrastructure:
- $686 million for the procurement of 614 of the estimated 1,575 new buses required over the next decade.
- $64 million for eBus charging stations at garages.
- $22 million for the purchase of 232 Wheel-Trans buses of the estimated 498 required.
As with the subway projects, the bus projects require additional funding. There is a further problem in that the existing fleet will reach its retirement age, and without full funding, the number of vehicles available for service will drop precipitously as shown in the chart below.

The TTC has not yet published a consolidated plan for the conversion of its bus garages and fleet from diesel/hybrid to full electric operation, and so we do not know what other capital requirements lurk in future years to complete this work.
Streetcars (Corrected)
The report retains the proposal from the 15 Year plan for 60 more streetcars, but as with many other aspects of the scheme, only allocated funding for one third of this project, or 20 cars. As with so much else in the report, this is a clear invitation for participation by other governments.
These 60 cars would take the TTC to the limit of what it can handle with existing carhouses, including conversion of Harvey Shops as a small carhouse for central routes and the overnight storage of cars at Exhibition Loop.
20 cars would bring the total fleet to 224 assuming that the warranty repairs on the existing fleet will be completed by the time new cars arrive. This would support a peak service of about 186 cars assuming 20% spares, or 26 cars more than the current peak streetcar service. This would allow full restoration of the streetcar system, but would not leave much room for improved service, and the remaining 40 cars in TTC plans should not be ignored, let alone another 40 projected for growth in the 2030 timeframe.
A related issue here is the status of the Waterfront LRT extensions east to Cherry and south to Villiers Island, as well as west to the Humber Bay. More cars will be required for these extensions and that will add to pressure for carhouse space.
Miscellaneous Subway Infrastructure
The plan includes considerable spending in the second half of the 2020s on state of good repair for subway infrastructure. This relieves a looming problem where the subway could begin to fall apart through lack of maintenance and the attempt to worn-out equipment in service. The plan also accelerates work such as asbestos removal as part of overall efforts to improve subway air quality and as a prelude to structural renewal for the aging tunnels.
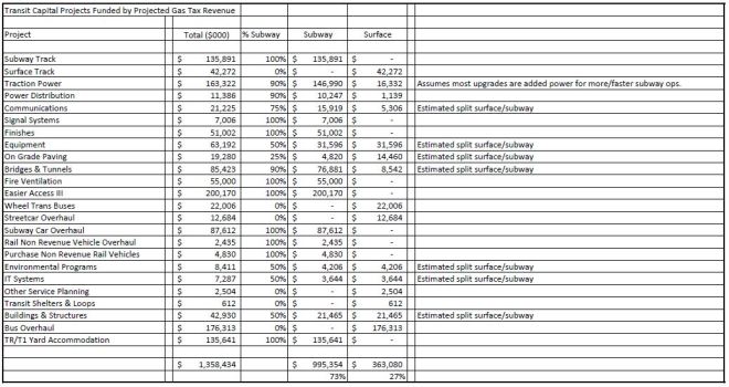
Overall Spending Plans
The chart below shows the overall capital plan including the detail of the subway infrastructure spending. This is not the total budget, only those portions paid for through the City Building Fund. The TTC’s shopping list for additional contributions is quite clear with many of these lines only partly funded from the CBF.
Indeed, there is an implicit assumption that many of these works can be launched with the expectation of more funding to come, a lot of which is not even required until after election cycles at all level of government. Will our future masters will be more inclined to fund transit?
