TTC Major Capital Projects: 2025 Year-End Update

The TTC Board agenda for its April 16 meeting includes a pair of reports giving the year-end status for the Operating and Capital budgets, as well as a detailed update on major capital projects.

In this article, I will review the status of major projects to summarize info for readers. In a separate article, I will turn to the 2025 operating results. Those wishing more detail should refer to the full reports.

An important factor with many projects is that they are multi-year efforts, and some of them are not fully funded. This has different implications for various types of projects such as:

  • A project might still not have full funding, but a portion can proceed with the hope of additional moneys appearing along the way.
  • A project might have stages, but only be funded for some of them. A new vehicle purchases might have money for part of an order, but not for a sustained rollout.
  • Projects could be interrelated in that full exploitation of benefits cannot be achieved without completion of both. For example, a new Automatic Train Control cannot work without a fleet that can “talk” to the new signal system. Larger fleets cannot be accommodated without new storage and maintenance facilities.

Although these are large and in some cases quite expensive projects, this is not an exhaustive list. Some parts of TTC State Of Good Repair budget involve areas with many smaller projects (for example, building and structures maintenance) that are quite large in the aggregate. Vehicle overhaul is an ongoing cost, but it is not listed as a “major project” because it is routine work. These items do not appear in the Major Projects report although they comprise a large portion of the capital budget.

The projects discussed here are:

  • Subway Work Car Fleet and Maintenance
  • Station Easier Access, Second Exits and Fire Ventilation
  • New Subway Cars for Lines 1 and 2
  • ATC Signals for Line 2
  • Rogers 5G Rollout
  • Capacity Enhancements for Lines 1 and 2
  • Bloor-Yonge Capacity
  • Scarborough Busway Project
  • New Buses for Conventional and Wheel-Trans Service
  • eBus Charging Systems
  • Facilities for the Expanded Streetcar Fleet
  • New TTC Operations Centre
  • VISION (Vehicle Tracking System) Implementation
  • SAP Enterprise IT System Implementation
  • PRESTO System Upgrade
Continue reading

TTC Board Meeting: February 24, 2025

The TTC Board met on February 24, 2025 with an agenda that seemed light going in, but the meeting itself ran well into the afternoon partly due to a long in camera discussion and partly to debates that expanded the scope of the items on the agenda.

Reports of interest:

    No Strategy for the TTC?

    Notable by its absence was a report on establishment of a Strategic Planning Committee, an item approved by the Board on January 10 with an implementation plan due at the February 24 meeting. (See minutes at p. 3) Such a committee is vital so that consultation and planning can occur before and while the 2026 budget is in preparation, a process that gets underway in roughly June-July each year. If there is to be some brave new vision of what transit can become, there is no point in asking that it be included in an already final budget in December.

    Continue reading

    Bloor-Yonge Station Expansion Update

    The TTC has published a Major Projects page for its Bloor-Yonge station expansion with a few renderings of the platform level views.

    Many more illustrations were available on the TTC’s bid site, and this article is based on documents there which go into considerably more detail.

    There are a lot of images here, and so I will leave most of the article beyond the “more” line.

    Project Scope

    The project involves the creation of a separate eastbound platform for Line 2 Bloor-Danforth and the reconfiguration of the existing centre platform as westbound only. Circulation space between Line 1 Yonge and Line 2 will be expanded substantially.

    At the north end of Bloor Station, both platforms will be extended about one car length to the north (the existing Bloor crossover is located a short distance north of the station) to open up circulation space .

    A new main entrance will be built within 2 Bloor Street East.

    On the south side, at 81 Bloor East, an entrance will be added within a building whose primary purpose is to house a substation for electrical power to the expanded station. Traction power will continue to be supplied through the TTC’s Asquith Substation.

    Four new fan plants will be added to bring the expanded station to modern fire code, and the existing fan plant at the south end of Bloor Station will be refurbished.

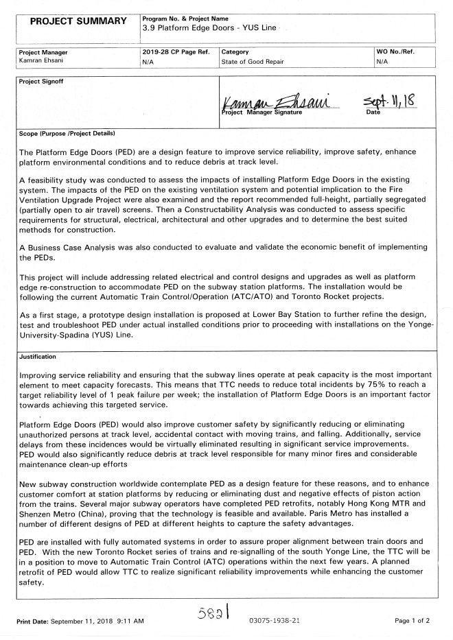
    The drawings show no provision for Platform Edge Doors.

    This will be a Design-Build project with the successful bidder responsible for taking TTC plans now at about 30% completion to a full 100% design, followed by construction. The Request for Proposals is expected to close later in 2023.

    Construction is planned to begin in 2024Q2 with the new Line 2 eastbound platform and new areas of Line 1 platforms in service by 2029Q2. This assumes that the Yonge North Subway Extension to York Region will open in 2030. The project would close out in 2031.

    Support for the project is in place from all levels of government, but until the bids come in, we will not know whether the full scope of work will fit within available funding of $1.5 billion.

    The footprint of the expanded station will be considerable, and the drawing below gives an idea of how much more territory the station will occupy.

    Continue reading

    Bloor-Yonge Station Expansion Update

    At its meeting of December 8, 2021, the TTC Board received a report and presentation about the Bloor-Yonge project. This is a massive undertaking to expand capacity at the major junction of the subway network that is considered critical to future demand growth on the network.

    Funding to the tune of $1.5 billion is already committed by the City, the Province of Ontario and the Federal government.

    The project will:

    • Add a new, separate eastbound platform on the south side of the existing station similar to the reconfigured Union Station where a northbound-to-Yonge platform was added.
    • Convert the existing centre platform to westbound only.
    • Add and reconfigure vertical access between the concourse east and west of the Line 1 station to Line 2 below.
    • Substantially increase the concourse space.
    • Increase ventillation fan capacity to reflect both the expanded station area and current fire code.
    • Add new entrance connections at 81 Bloor East and link the existing automatic entrance on Yonge north of Bloor to the new platform.
    • Reconfigure the main entrance of the station at 2 Bloor East.

    In pre-pandemic times, severe congestion was common particularly, but not only, on the southbound platform. If nothing is done about this, the safety issues this brings will become more severe and train operations will be hampered by the volume of passengers.

    Although Automatic Train Control will allow for more frequent service, this also means that passengers can be delivered to the station at a faster rate than today. If stairs, escalators and platforms cannot handle the added demand, the station will be a pinch point on the network. At a political level, the City of Toronto Council is already on record as requiring this expansion (as well as the Relief, now Ontario Line) as pre-requisites for the Line 1 Yonge extension to Richmond Hill.

    The issues facing the TTC are summarized early in the presentation deck.

    Modification & expansion of the existing Bloor-Yonge Station required to address current issues and future ridership demand as follows:

    • Overcrowding of the Line 2 platform due to substandard platform width and congested vertical circulation in the AM and PM peak hour

    • Overcrowding of the Line 1 platforms due to poor passenger distribution leading to congestion and queuing at vertical circulation in the AM and PM peak hour

    • Overcrowding of Lines 1 and 2 platforms AM and PM peak hour hampering alighting and boarding leading to increase in dwell time for trains

    • Projected ridership growth will exacerbate current deficiencies in station performance

    • Projected ridership growth will greatly extend recovery time from a missed headway

    • Line 1 expansion to Richmond Hill

    Presentation deck, p. 3
    Continue reading

    TTC Major Projects Overview: September 2021

    The agenda for the TTC Board’s meeting on September 15, 2021, contains three related reports about the status of capital projects:

    Among the projects discussed are several that relate collectively to the Bloor-Danforth Modernization Project (Line 2) that was originally proposed when Andy Byford was CEO. It was always a report that was “coming soon” to the Board, but after Byford’s departure, references to it vanished without a trace. I will return to the collection of BD Modernization projects later in this article.

    A major problem for decades with TTC capital planning was that many vital projects simply were not included in the project list, or were given dates so far in the future that they did not affect the 10-year spending projections. This produced the familiar “iceberg” in City capital planning where the bulk of needed work was invisible.

    The problem with invisibility is that when debates about transit funding start, projects that are not flagged as important are not even on the table for discussion. New, high-profile projects like subway extensions appear to be “affordable”.

    There is a danger that at some point governments will decide that the cupboard is bare, and spending on any new transit projects will have to wait for better financial times. This will be compounded by financing schemes, notably “public-private partnerships” where future operating costs are buried in overall project numbers. These costs will compete with subsidies for transit operations in general. Construction projects might be underway all over the city, but this activity could mask a future crisis.

    Please, Sir, I Want Some More!

    The current election campaign includes a call from Mayor Tory for added Federal transit funding including support for the Eglinton East and Waterfront East LRT lines, not to mention new vehicles of which the most important are a fleet for Line 2.

    The Waterfront East project has bumbled along for years, and is now actually close to the point where Council will be presented with a preferred option and asked to fund more detailed design quite soon. This is an area that was going to be “Transit First”, although visitors might be forgiven for mistaking the 72 Pape bus as the kind of transit condo builders had in mind as they redeveloped lands from Yonge east to Parliament. Some developers have complained about the lack of transit, and the further east one goes, the greater a problem this becomes.

    The Eglinton East extension to UTSC was part of a Scarborough transit plan that saw Council endorse a Line 2 extension with the clear understanding that money was available for the LRT line too. Generously speaking, that was wishful thinking at the time, and Eglinton East languishes as an unfunded project.

    For many years, the TTC has know it would need a new fleet for Line 2 BD. The T1 trains on that line were delivered between 1995 and 2001, and their 30-year design lifespan will soon end. As of the 2021 version of the 15 year capital plan, the replacement trains were an “unfunded” project, and the project timetable stretched into the mid 2030s.

    City budget pressures were accommodated a few years ago by deleting the T1 replacement project from capital plans. Instead the TTC proposed rebuilding these cars for an additional decade of service. This would stave off spending both on a new fleet and on a new carhouse, at the cost of assuming the trains would actually last that long. The TTC has found out the hard way just what the effect of keeping vehicles past their proper lifetime might be, and that is not a fate Toronto can afford on one of the two major subway lines. The T1 replacement project is back in the list, but there is no money to pay for it.

    Finally, a signature John Tory project is SmartTrack which has dwindled to a handful of GO stations, some of which Metrolinx should be paying for, not the City (East Harbour is a prime example). If we did not have to keep the fiction of SmartTrack alive, money could have gone to other more pressing transit needs.

    When politicians cry to the feds that they need more money, they should first contemplate the spending room they gave up by ignoring parts of the network and by putting most if not all of their financial nest-egg into politically driven works. It does not really matter if Ontario has taken over responsibility for projects like the Scarborough Subway because one way or another the federal contribution will not be available to fund other Toronto priorities. The same is true of the Eglinton West LRT subway.

    Any national party could reasonably say “we already helped to pay for the projects you, Toronto, said were your priorities”, but now you want more? A related issue for any federal government is that funding schemes must be fitted to a national scale, and other cities might reasonably complain if Toronto gets special treatment.

    A Long Project List

    • Bloor-Yonge Capacity Improvements
    • Line 5
      • Eglinton Crosstown LRT
      • Eglinton Crosstown West Extension
      • Eglinton Crosstown East East Extension
    • Line 6 Finch LRT
    • Line 1 Extension to Richmond Hill
    • Line 2 Extension to Sheppard/McCowan
    • Line 3 Ontario
    • Waterfront Transit Network
      • East LRT and station expansions
      • West LRT from Exhibition to Dufferin
    • BRT Projects
      • Durham-Scarborough
      • Dundas West
    • Line 4 Sheppard Extension
    • Transit Control Integration
    • Subway Fleet Replacement (T1) and Expansion
    • Fleet Storage
    • Automatic Train Control
    • Platform Doors
    • Easier Access Plan
    • Purchase of New Buses and Electrification
    Continue reading

    TTC Transit Expansion Update

    At its February 10, 2021 meeting, the TTC Board receive a long report entitled Transit Network Expansion.

    The raison-d’être for the report is to obtain the authorization to increase staffing by 34 positions that would be funded by Metrolinx, but would be part of the TTC’s stucture. Many aspects of projects underway by Metrolinx depend on TTC input and acceptance because they affect lines the TTC will operate and, at least partly, maintain. A new Transit Expansion Assurance Department within Engineering & Construction. The authorization include provision for temporary expansion beyond 34 should this be required.

    This move is intriguing because it implies Metrolinx has accepted that it cannot build new lines completely on their own without TTC input, especially when they will operate as part of the TTC network.

    The report also requests authorization for:

    […] the Chief Executive Officer, in consultation with the City Manager, City of Toronto where applicable, to negotiate a Master Agreement and/or other applicable Agreements with the Province and/or any other relevant provincial agency for the purposes of the planning, procurement, construction, operations, and maintenance of the Subway Program, in accordance with Board and City Council direction, and to report back to the Board on the results of such negotiations. [pp. 2-3]

    There is a great deal more involved in building and operating transit projects than holding a press conference with little more than a nice map. Now comes the hard part of actually doing the work. Whether Metrolinx will negotiate in good faith remains to be seen, but the TTC and Toronto appear to be less willing to hide Metrolinx’ faults in light of the Presto screwups.

    Another recommendation has a hint that all is not well with consultations, as that should be any surprise to those who deal regularly with Metrolinx.

    Request Metrolinx to conduct meaningful engagement with the TTC’s Advisory Committee on Accessible Transit (ACAT) as part of the Project Specific Output Specification (PSOS) review and design review for all projects within the provincial programs. [p. 3]

    The operative word here is “meaningful”. ACAT has already complained of difficulties with Metrolinx including such basics as poorly designed elevators on the Eglinton Crosstown line that cannot be “fixed” because they have already been ordered.

    Right from the outset, the TTC claims to have a significant role, a very different situation from the days when Metrolinx claimed it would be easy for them to take over the subway system.

    The TTC continues to play a key role in the planning, technical review, and implementation of all major transit expansion projects in Toronto and the region. These include the Toronto Light Rail Transit Program and the provincial priority subway projects, referred to collectively as the “Subways Program”: the Ontario Line; the Scarborough Subway Extension; the Yonge North Subway Extension; and the Eglinton Crosstown West Extension. [p. 1]

    In support of the staffing request, the report goes into great detail on many projects:

    Two projects are not listed among the group above, but there is a description buried in the section on Bloor-Yonge expansion.

    • Overall subway system capacity and service expansion
    • Any discussion of the Line 2 renewal project

    There is no discussion at all about renewal and expansion of surface service. This is just as important as new lines, but it is not seen as “expansion” with the political interest and funding that brings. Yes, this is a “rapid transit” report, but the core network of subway lines dies without the surface feeder routes, and many trips do not lie conveniently along rapid transit corridors.

    The map below shows the location of most of the projects, but there are some odd inclusions and omissions.

    • The RapidTO bus corridors are not included.
    • City-funded GO stations at St. Clair/Old Weston, Lansdowne, King/Liberty, East Harbour and Finch/Kennedy are shown.
    • GO funded stations at Woodbine Racetrack, Mount Dennis, Caledonia and Park Lawn are shown.
    • The planned improvement at between TTC’s Dundas West and GO’s Bloor station is not shown, nor is any potential link between Main and Danforth stations.
    • SmartTrack stations are shown, but there is no discussion of how GO or ST service would fit into the overall network.

    The following two maps have attracted a lot of attention, although they do not tell the full story. Much as I am a streetcar/LRT advocate, the presence of the entire streetcar network here is misleading, especially in the absence of the RapidTO proposals. Some of the streetcar lines run in reserved lanes, although thanks to overly generous scheduling some of them are no faster than the mixed-traffic operations they replaced (notably St. Clair). However, most of these routes rank equivalently to the bus network in terms of transit priority. If we are going to show the streetcar lines, why not the 10-minute network of key bus route?

    The map is also distorted by having different and uneven scales in both directions. The size of downtown is exaggerated while other areas are compressed.

    For example, the distance from Queen to Bloor is, in reality, half that of Bloor to Eglinton and one quarter of Eglinton to Finch. It is also one quarter of the distance from Yonge west to Jane or east to Victoria Park. For comparison, the TTC System Map is to scale, and it shows the city in its actual rectangular form.

    This map gives an impression of coverage, but masks the size of the gaps between routes as one moves away from the core. Bus riders know all about those gaps.

    By 2031, the network is hoped to look something like this. No BRT proposals are shown, but we do see the waterfront extensions west to Dufferin, and east to Broadview (East Harbour). Also missing are the GO corridors which, by 2031, should have frequent service and (maybe) attractive fares. They are (or should be) as much a part of “Future Rapid Transit” as the TTC routes.

    This map is trying to do too much and too little at the same time. It also reveals a quite selective view of “regional” transit.

    I am not trying to argue for a map that shows every detail, but it should exist (a) in scale and (b) in formats with overlays showing major parts of the network and how they relate to the overall plan. When people concentrate on the pretty coloured lines, they tend to forget the other equally important parts of the network.

    Continue reading

    Expanding Bloor-Yonge Station (Updated)

    Updated October 25, 2020 at 9:30 pm: Illustrations have been added or replaced to provide higher resolution versions that were issued as part of the TTC Board Meeting presentation.

    Plans for the expansion of Bloor-Yonge Station have reached another milestone with revelation that the project will have some effect on the buildings above and around the subway structure. This was not really a surprise, and some of the structural challenges have been acknowledged in past reports.

    For this iteration, however, the need for more platform and circulation space triggered negotiation with affected property owners who may view this as an opportunity to reconfigure their buildings.

    To put everything in context, here is a bird’s eye view of Bloor and Yonge showing the existing subway structure. North is at the top.

    Yonge Station lies on a diagonal between, roughly, Bloor Street East and Park Road (the east end of the Hudson’s Bay building) and the northern half of the block on Yonge between Bloor and Cumberland. The building at 2 Bloor Street East (northeast corner) actually sits on an underground bridge because of local ground water conditions and a nearby stream that continues to appear from time-to-time within the station.

    1877 Map of Yorkville by Silias James from the Toronto Public Library

    The original Yonge line is east of Yonge Street and its alignment is easy to spot from the surface by a succession of parks and parking lots above the subway where once there were buildings.

    Source: Google Maps

    Before the Bloor-Danforth line opened in 1966, there was a fare-paid transfer station in the middle of Bloor Street where passengers switched between the subway and extremely frequent streetcar service. The problem of moving people between the Yonge and Bloor routes has been with us for a very long time.

    Photo from Transit Toronto

    A painting of the proposed Yonge Station by Sigmund Serafin from 1957 shows how the then-new Yonge Line would relate to the proposed station on the Bloor Line. Note the red Gloucester cars on the Bloor line. That’s what everyone thought of as a subway train in those days.

    [Many decades ago, I rescued this painting and others from a TTC housecleaning binge. It is now in the collection of the City of Toronto Archives Fonds 16, Series 2449, Item 1]

    The connections to the streetcar platforms are now walled off, but they were behind a row of fluted aluminum columns about a third of the way down the platform.

    The platforms on the Bloor Station (Line 1) level were expanded decades ago to double their width over much of their length, and the east and west concourses were also expanded to provide more circulation space. However, problem remain on the Yonge Station (Line 2) level where a single centre platform is shared by both directions. It is often crowded and can be dangerous when service is suspended.

    The map below shows the site and the degree to which the structure will be expanded. Most of the new construction will be under Bloor Street but some will be under existing buildings on the northeast corner of the Bloor-Yonge intersection. Exactly how this will affect the buildings is unknown because details of the property agreements are in a confidential appendix to the report.

    The important point about this land is that it is still owned by the City and is leased. The expanded station will require changes in the lease arrangements.

    On Line 2, a new platform will be added south of the existing structure. This will separate eastbound and westbound passengers. The new platform will have its own connections to the upper level into expanded concourse areas, as well as a link to the exit onto Yonge Street at the west end of the station.

    Also shown in the diagrams below are new fan plants (red). These are required to improve emergency ventilation at the station and bring it to current fire code.

    Updated October 25, 2020: A second version of the plan has been added below (the “Concept Design”) from the presentation to the TTC Board. It is at higher resolution and gives a better site context. Figure 3 from the original report has been left here because it contains notes that are not in the presentation version.

    At the north end of Bloor Station, the circulation space will be considerably increased and there also be new elevators linking the east and west concourse areas to the two Yonge Station platforms below.

    Not shown in either the report nor the presentation materials is the layout for the fare control area one level up from Bloor Station. This will necessarily be affected both by the relocation of stairs, escalators and elevators, as well as by whatever changes might occur in the mall outside of the station itself.

    This project is fully funded with contributions from Toronto’s City Building Fund, as well as the Provincial and Federal governments at a total cost of $1.5 billion. Design is expected to reach the 30 per cent level in mid-2021 for project approval. Final design would be completed in 2023 with an aim for the construction contract award in 2024. The completion date of 2029, before the Richmond Hill extension opens, drives the overall schedule for this project.

    Planning for Line 1 (YUS) Growth

    At its meeting of April 11, the TTC Board considered several reports that bear on the question of future demand and capacity on Line 1 Yonge-University-Spadina.

    Also discussed were the planned subway closures in 2019 which I covered in a previous article, and a contract amendment to the ATC signalling consultant to cover extending the implementation period for the Line 1 project.

    This segment of the meeting contained far more technical material than we usually see at the TTC Board, but it was long overdue, especially with a large contingent of new Board members in 2019. Too many Board debates touch only the surface of issues without an appreciation for what is “under the covers” within this large organization, the largest single entity within the City of Toronto and its agencies.

    Who Watches the Watchers?

    A troubling aspect surfaced regarding the status of the Automatic Train Control (ATC) project and the question of why its delivery date will be so much later than originally planned. Some of this gets murky because of discussions earlier in the day in a private session, but there were two clear outcomes:

    • There is a clear implication that information about the status of the ATC project was withheld from the Board who have only recently come into knowledge of what is actually happening.
    • The Board wants an oversight/audit function to ensure that what management tells the Board about projects is actually credible.

    On the second point, Commissioner Ron Lalonde moved, and the Board approved.

    That the CEO of the TTC implement a function independent of the project management that would review major project implementation and report quarterly to the CEO and to the TTC Board on the status of major projects and on their compliance with TTC project management policies.

    This is an astounding motion in that it effectively says nobody in management can be trusted to do their jobs and report accurately to the Board. One might reasonably ask why the CEO himself is not subject to such oversight, considering that the situation from which this motion arises clearly was the product of the previous CEO’s term. That “Transit System of the Year” award would be rather tarnished if the organization were provably misrepresenting its accomplishments.

    The complaint, as raised by Vice Chair Alan Heisey, was that the Board had been told repeatedly that the ATC project was on time and on budget, only to find that it was not. He cited a November 2017 status chart from the CEO’s Report showing “green” status for the project. In fact, this status continued into the March 2018 report which was the last one published in that format. The set from November 2016 to March 2018 appears below (click on any item to open as a gallery).

    Throughout the six versions of this dashboard, the ATC project remains at an estimated cost of $563 million and a completion date of Q4 2019. Only the to-date expenditure and percent completion rise (from $266m to $381m, 47% to 68%), albeit with an anomalous lack of progress between November 2016 and March 2017 which show the same values. Note that the percentages are of spending versus final cost and they do not necessarily reflect the proportion of the work that is finished. For example, as I write this, only 40% of Line 1 is under ATC control (Vaughan to Dupont) with a further extension south (to St. Patrick) pending in May.

    Reports on the status of major projects vanished from the CEO’s Report after March 2018, and these were eventually replaced as part of a quarterly report from the Chief Financial Officer. The first of these reports, in January 2019, flagged a schedule and budget problem with the ATC project.

    Schedule reassessment: An operational review concluded that the required closures for Phase 3, the significantly longest continuous phase, were overly disruptive to customers. The multiple closures required would have shut down all subway service from St. Clair to St. Clair West stations. To mitigate this impact on our customers, a revised plan divides the area into three sub-Phases 3A, 3B and 3C. The project team is reviewing the schedule with the contractor to develop a mitigation plan.

    For operational reasons it was necessary to advance Phase 6 (Wilson Yard) and implement it prior to both Phases 1 and 3. This Phase was extremely complex, requiring it be divided into 3 manageable sub-Phases which had schedule impact. These changes will delay the project scheduled completion date to 2021. [pp 16-17]

    The idea of subdividing phase 3 was already being discussed for exactly the reasons stated above before 2018, and this was hardly news. Other extensions to the completion date arise from timing on competing projects (about which more later in this article). The need to reschedule Phase 6 was obvious from the moment the TYSSE to Vaughan opened and operations at Wilson Yard became a choke point on loading and unloading service from the line.

    By the April CFO’s report, there was a further source of delay:

    An operational review concluded the implementation of Automatic Train Protection (ATP) on maintenance workcars and Line 4 TR trains is required for efficient travel speeds in ATC areas to work zones and maintenance facilities.

    The project team has reviewed the impact of these changes and performed a schedule reassessment. The revised project in-service completion date is 2022. [pp 18-19]

    A consultant’s review of the ATC project by Transit Systems Engineering found that the ATC project itself was well-run, but that a combination of focus on getting the line ready for TYSSE opening in late 2017 together with a failure to fully appreciate other works that ATC and the planned capacity increase would trigger push out the completion date for the project. TSE did not criticize management of the ATC project itself, and indeed recommended that this team remain intact because of their knowledge and experience. It is ironic that a report dated January 13, 2019 makes this recommendation a month after the former ATC Project Director left the TTC to join Andy Byford in New York City.

    The TSE report states:

    … the installation of the ATC system would appear to be on-schedule and on-budget to meet the revised delivery date of Q3 2021 at an overall cost of $663M. [p 6]

    This is different from the 2022 schedule now presented to the Board, and the changes noted in the April CFO’s report must have been “discovered” after the TSE review. I put that in quotation marks because a project to make the maintenance fleet ATC-compatible already existed in the 2017 Capital Budget, and the project remains in the 2019 version.

    On the subject of keeping the Board informed, I really cannot avoid mentioning the management decision taken during the election interregnum in 2018 to rebuild rather than replace the T1 trains now used on Line 2 Bloor-Danforth. This has pervasive effects on other project schedules including:

    • delay of ATC implementation on Line 2 and the service improvements this could bring,
    • the future of Greenwood Yard and its availability for the Relief Line,
    • the timing of Kipling Yard (the Obico property) and
    • the choice of signalling on the Scarborough extension.

    None of this was brought to the Board’s attention, and it was “approved” as one of many items buried within the Capital Budget with no explicit analysis or “heads up” for the Board.

    Continue reading

    Toronto’s Omnibus Transit Report: Part II

    On April 9, Toronto’s Executive Committee will consider a massive set of reports on the many transit projects at various stages of design and construction in Toronto.

    In Part I of this series, I reviewed the financing scheme for four major projects as well as details of the Scarborough Subway Extension, aka the Line 2 East Extension. In this article, I will review the Relief Line, SmartTrack and the Bloor-Yonge Station Expansion project.

    The reports applicable to this article are:

    • Main Report: Toronto’s Transit Expansion Program – Update and Next Steps
    • Attachment 1: A status update on all projects

    There are related reports about signalling and capacity expansion of Line 1 Yonge-University-Spadina in the TTC Board’s agenda for their April 11 meeting. I will deal with these in a separate article.

    After decades in which the focus of transit planning looked outward to the 905 beyond the bounds of Toronto, there is now a political realization that capacity into the core is a major issue for the region’s economy. Politicians and planners may show optimistic studies of suburban centres and growth, but the development industry, a bastion of free enterprise thinking, persists in building downtown because that’s where they can sell at the greatest profit.

    The Relief Line, SmartTrack, Automatic Train Control, subway station expansions and even surface transit projects like the King Street Pilot all attempt to address the demand for travel to and through the core area. Looking beyond the city boundaries, there are subway and GO Transit extensions and service improvements. Some of these schemes are more successful than others, and some have very long lead times before any benefit will be seen. Political attention has shifted from the fights over which one project will be built each decade to the recognition that many projects must occur in parallel so that capacity can catch up with latent and growing demand.

    Continue reading