Service Analysis of 34 Eglinton: February-April 2026

With the many route changes for the opening of Lines 5 and 6, an obvious “project” is to review how all of the new and updated routes are operating. I cannot guarantee that I will get to them all, but will nibble away at the list.

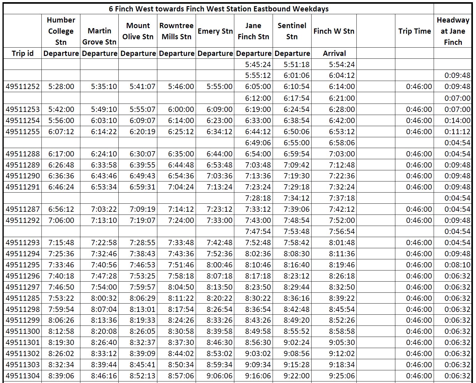
We still cannot see vehicle tracking data for 5 Eglinton LRT, but a route we can see is the vestigial replacement bus 34 Eglinton.

Full disclosure: The Eglinton East corridor is one I have used all of my life, and quality of service affects me personally. However, it also affects the many would-be riders along the line for whom transit “service” has all but disappeared.

This route shows a classic laissez-faire attitude of TTC management where buses appear to run more or less on a schedule of their own making. Riders on other routes are familiar with this problem, but 34 Eglinton shows how an infrequent service can be left to rot and discourage riders from using it. TTC has even talked of the 20-minute service as “interim” and that it might be cut in the future.

The idea of a parallel surface bus was to provide accessibility for those who could not walk to an LRT station, and this is, in theory, a key part of accessibility for the line. However, service is so erratic on this nominally 20-minute route that actually catching a bus requires good timing through a transit app to find one. To add insult to injury, the TTC removed several stops along Eglinton just before Line 5 opened, adding access time to the remaining riders in the name of speeding up a frequent bus service that was about to vanish.

TTC talks about its “family of services” scheme that encourages potential Wheel-Trans users to make part of their trip on the conventional system. 34 Eglinton demonstrates just how badly they actually deliver alternatives.

There is no excuse for the poor quality of service on this route, and three months’ data show that the current operation is “normal” with no visible effort to rein in irregularities.

Continue reading

7 Bathurst Update: Data to April 2026

This article updates a series of posts looking at the 7 Bathurst bus and the effect of transit priority changes made on that route. Originally the City and TTC had proposed red lanes from Bathurst Station north to Eglinton. This was substantially changed to parking and turning restrictions, and the elimination of some transit stops. The changes predominantly affected northbound travel and in the interest of brevity, I have included mainly northbound data here. The changes implemented were:

  • Extendind the no stopping period on the east side of Bathurst between Eglinton and Bathurst Station North Exit from 2:00 to 7:00pm, weekdays, and from noon to 7:00pm, weekends, except public holidays. Previously, there was no stopping from 4:00 to 6:00pm or 3:30 to 7:00pm, Monday to Friday, depending on the segment
  • No left turns northbound from 7:00am to 7:00pm Monday to Saturday, except public holidays (Toronto Transit Commission vehicles excepted), at Bathurst & Davenport northbound, and at Bathurst & Dupont southbound. Previous hours were 4:00 to 6:00pm weekdays northbound at Davenport, and 7am to 6pm southbound at Dupont.
  • The existing no left turns restriction northbound at Bathurst & Dupont from 7:00 to 9:00am weekdays was removed.
  • Concurrently with these changes, the TTC removed stops from the route, mostly north of St. Clair, with the premise that fewer stops would make faster trips. The actual effect varies depending on how heavily a stop is used, whether each bus or only some trips actually stop there, and whether there is an associated traffic signal that could compound the delay of serving a stop.

A saving of 1/3 in travel times has been claimed between Bathurst Station and Dupont, but this is not supported by actual tracking data. There may be best case comparisons where there is a 1/3 saving, but this does not apply across the board. The primary intent, as explained in the presentation to Council at the time, was to improve the reliability of travel times, not to speed up service.

A major issue on Bathurst is that the service is infrequent (generally every 10 minutes) and very unreliable. How much road capacity should be dedicated to such a route by comparison with other priority implementations such as on King Street or Eglinton Avenue East?

The first set of charts in this article shows the evolution of travel times between Barton (just north of Bathurst Station), St. Clair and Eglinton. The second compares April 2026 with April 2025 in detail. The third reviews the history of headway reliability on the route.

Continue reading

TTC Service Changes Effective May 3, 2026

The TTC will make many changes to its schedules and services on Sunday, May 3. Many of these are seasonal adjustments for reduced traffic to school locations, as well as summer-only routes. Some routes will see service changes, and some construction projects will, at long last, finish. Toronto gets a reprieve for the World Cup period from major road disruptions, but this will not last long.

Other changes include some streetcar stop removals to attempt to speed up service. We will see just how effective these are after a month’s operation.

Updated May 2, 2026: Route description for 329 Night Bus corrected. Note about additional early morning trips added.

Updated May 3, 2026 at 6:30pm: The spreadsheet showing details of changes to service plans is now available.

Updated May 3, 2026 at 11:30pm: There are few destination sign changes, but a list of them has been added.

Continue reading

TTC To Relax Streetcar Speed Restrictions

According to a bulletin from the TTC’s Safety and Environment Department, effective May 24, 2026 some speed restrictions that hobble streetcar operations will be dropped.

  • At crosswalks and signalized intersections, streetcars are now restricted to entering at 25 km/h. This will change so that cars can operate at up to the posted speed limit.
  • The 10 km/h speed restriction at intersections on The Queensway will be removed, and cars can operate up to the posted speed limit.
  • Intersections with special work, or with other explicit restrictions, continue to be subject to slow orders.
  • Notwithstanding these changes, Operators are expected to drive defensively and adapt to road and weather conditions.

This is a first step in attempting to speed up streetcar routes, but the limits at special work (switches, crossings) remain in place. This will not change, if at all, without a thorough review of factors contributing to that long-standing policy including:

  • Reliability of electric switch controllers,
  • Benefits of double-blade switches for Flexity streetcar movement through turns, and
  • Signaling to provide a positive indication for operators that switches are set and locked to the desired route.

That study is underway, but we are unlikely to see major changes quickly especially if replacement of existing track and controllers is needed. Related issues include:

  • The number of manually operated switches at locations where streetcars regularly turn for diversions and short turns, and
  • The degree, if any, of aggressive transit signal priority provided at existing and future switch locations.
  • Removal of speed restrictions related to trolley pole operation notably at low underpasses.

It is not clear why there is a delay of over three weeks for this change to take effect, but it will be in place before the World Cup games.

Queen/Broadview Service Update

Effective April 27, streetcar service on 501 Queen resumed its normal route between Broadview and Parliament rather than diverting via Dundas Street.

The 503 Kingston Road bus also resumed its normal route between the Don River and Parliament running via King rather than via Queen.

The split operation of 504 King with all streetcars running to Distillery Loop and a 504D shuttle between Parliament and Broadview Station will continue until the schedule change on May 3 when full streetcar service over 504 will resume. Similarly the split 304 King night car and 301 Queen night bus operation will be replaced with 304 streetcars over the full route.

This change has been announced by the TTC via a press release, but does not appear on their Service Changes page. The underlying online schedules will not be updated until May 3, and so trip prediction apps will not give valid information for 501 and 503 services between Broadview and Parliament in the interim.

For a complete list of current and past streetcar diversions, see my Where Is My Streetcar page.

TTC World Cup Plans: April 2026

TTC Plans for service to the six World Cup games to be played in Toronto, as well as to the nearby Fan Fest area, were covered in a presentation deck in a recent TTC Board agenda. Because the Board had been rather chatty on previous items, this one was not presented although there was a media scrum afterward.

The plan for transportation to the venues depends on a combination of routes. However, the description of the service varies between the presentation deck and info on the TTC’s World Cup web page.

On the left, the presentation clearly shows the 63 Ossington bus as a World Cup route, but it is missing on the web page.

According to the web page, there will be “expanded service” on subway lines 1 and 2, and “enhanced sevice” on 29/929 Dufferin. Service on 504 King, 509 Harbourfront and 511 Bathurst will run every 5 minutes all day on game days.

Because the 509 and 511 streetcars merge at Bathurst and Fleet, this will mean a 2’30” combined service to Exhibition Loop. That is substantial by current TTC streetcar standards, but it will only provide 24 cars per hour with a capacity of 3,600 riders, generously allowing for 150 per car. The stress on service will be stronger after games when many fans want to leave in a short period. Whether the combined streetcar, bus and GO train service will be able to handle this remains to be seen.

Note the planned access routes to the queuing area on Fleet Street includes fare payment points. This will allow the loading to occur from a fare paid zone without the delay of on board taps, and without the need for fare enforcement in a congested area. This is also shown for access to a contingency bus area at Fort York and Lake Shore, and it is reasonable to assume the same approach will be used at Dufferin Loop.

Aggressive transit priority measures will be needed to keep streets clear. Toronto does not have a good history in restricting motorists to leave the streets for transit service, and the affected areas are not just the downtown business district but residential streets.

Both Bathurst and Dufferin Streets will, by the time of the matches, have RapidTO red lanes south from Bloor. Early plans for Bathurst called for express streetcars and local bus service, but that scheme has been dropped.

I asked Josh Colle, TTC’s Chief Strategy and Customer Experience Officer, about this, and here is his reply:

Earlier iterations of our conceptual service plan envisioned removing intermediate stops along 511 Bathurst to increase the speed of travel along the corridor during the World Cup. Bus service would be provided to serve all existing stops.

With the expected travel time improvements from RapidTO, the implementation of 6-minute or better service, and further service increases during the World Cup period, the express streetcar concept was abandoned. There were also concerns about buses operating in the dedicated lanes and needing to merge in and out of potentially congested curb lanes to serve curbside stops.

This was originally seen as an opportunity to pilot a stop removal program for streetcar while operating a local bus service. However, given the recent priority to improving streetcar operations through other initiatives, our focus remains providing the best service for all customers during the World Cup period.

The TTC intends to provide Blue Night service as shown on the map below beyond the usual level.

Things do go wrong, inevitably, and here are the TTC’s preparations:

Service delivery and performance:

  • Supplementary supervisors in stations, on-street, and at key locations
  • Additional standby and change-off vehicles on all modes
  • Enhanced station staff, customer service and ambassadors
  • Real-time system oversight and coordinated decision making

Infrastructure readiness:

  • Streetcar switch duty operators at critical points
  • Extra janitorial and vehicle cleaning crews
  • Additional line mechanics, elevator, overhead, subway, signal, and track crews
  • Standby streetcar support and service trucks

Emergency safety:

  • Added security personnel on match days
  • Toronto Police paid duty officers EMS at key locations
  • Coordinated approach with Station staff, Transit Control and Special Constables
  • Continued access to social supports and resources through partnerships

This is substantially more than we see for day-to-day operations, and there may be some lessons to be learned about the level of supervisory and support services needed to handle major events and their demand.

(The reference to switch duty operators is a tad embarrassing considering that the planned streetcar routes do not involve any manual switches, and this does not show great confidence in their existing technology.)

There will be “testing exercises” although the exact scale of these is not yet known.

Finally there are plans for enhanced and visible safety and security with the use of Special Constables, Fare Inspectors (Provincial Offenses Officers) and contract security staff. Ideally, as many riders as possible will pass through fare controls at some point in their journey and extensive fare checks on board will not be needed. More important will be visibility of staff who can intervene, if only to report issues and act as a visible deterrent.

Management will bring an updated plan to the June 3 Board meeting.

Stop Spacing Math

In response to the “Toronto has the world’s slowest streetcars” meme floating around on line and among some transit advocates, various proposals were floated to speed up our system.

One of these is the idea that there are too many streetcar stops, and if only cars didn’t pause so often for passengers, we could have faster streetcar service. The TTC’s euphemism for this is “stop balancing”.

A chart accompanying the TTC report shows the speed and stop spacing values for several transit systems. Toronto is down in the left bottom corner with the closes stops and the slowest speed. However, Melbourne’s trams are in the same range as Toronto for stop spacing, but they operate faster. Nowhere does the TTC examine what differences might apply to Melbourne lines, nor for the other systems that are both faster and with wider stop spacing.

Although there are some outliers, the bulk of the data points are in the 400-500m range, but this does not examine route characteristics. The original study of slow Melbourne streetcars by Dr. Jan Scheurer commented about Toronto that “CBD-typical speeds seem to extend across the entire city” [p. 8]. Riders who sit in traffic jams on King or Queen Street West, or on Queen Street in the Beach are quite familiar with this problem. Toronto streetcars do not emerge from the core to fly into nearby suburbs.

There is also the issue that Toronto streetcars used to move faster both with the CLRV fleet and the PCCs that preceded them. Something beyond stop spacing is at work even on routes with dedicates rights-of-way. It is easy to go after stops as a source of delay because this would not require an examination of TTC operating practices and the City’s lack of aggressive transit signal priority. Indeed, during the last round of major works on St. Clair, it was discovered that TSP was not actually working in many locations.

Source: TTC

For the sake of argument, assume that the delays to TTC streetcars come from closely spaced stops. Any rider knows that there are other factors including slow operation through junctions, traffic signals that do not give streetcars priority and congestion both in the core and the outer parts of many routes.

The premise is that fewer stops will speed service benefiting those already on streetcars at the expense of those who have to walk further to a stop. This is a bogus argument regardless of stop spacing. There will almost always be more riders passing any individual stop who would “benefit” from its elimination than riders who use the stop. The same argument could be made for some subway stations.

Here are the TTC’s Board-approved stop spacing standards. The target range of 300-400m for local surface routes implies an average stop spacing of 350m giving some leeway to adjust to conditions.

(To give readers a sense of distance, a subway station platform is about 150m long, and so a 300m walk is from one end of a station platform to the other and return.)

Streetcar route averages lie roughly in the 250m-325m range below the standard’s midpoint of 350m. Some stop trimming has already occurred to eliminate very closely spaced stops.

Note that 508 Lake Shore shows the same average as 507 Long Branch even though the 508 travels into the core. The reason is that the stop spacing between Humber Loop and Roncesvalles is quite wide, and this offsets the closer spacing on King Street in the average.

RouteTerminiStop Spacing (m)
501 QueenNeville-Roncesvalles (*)241
Roncesvalles-Humber448
503 Kingston RoadVictoria Park-York284
504 KingDundas West Stn-Distillery (*)283
Dufferin Loop-Broadview Stn (*)280
505 DundasDundas West Stn-Broadview Stn (*)278
506 CarltonHigh Park-Main Station (*)260
507 Long BranchLong Branch Loop-Humber Loop312
508 Lake ShoreLong Branch Loop-Distillery306
509 HarbourfrontExhibition-Union Station373
510 SpadinaSpadina Station-Queens Quay293
511 BathurstBathurst Station-Exhibition Loop328
512 St. ClairGunns Loop-St. Clair Station270
Source: Calculated from TTC GTFS Schedule Data

Notes:

  • 501 Queen stop data are taken from the pre-Ontario Line construction with service running directly across Queen from Church to York.
  • Stops near Dundas West and Broadview Stations that are used primarily by overnight services have not been included in the stop counts for 504 King and 505 Dundas.
  • 506 Carlton stop data are taken from the through route before construction diversion around Bay & College.

Some Basic Math

If one wants to achieve a major saving from stop time, many stops have to be cut on a route. One or two will annoy their regular users, but the change in travel time, if any, will be quite small and disappear into the background noise of other variations.

The basic calculation is simple: if a route now has an average spacing of 300m, and you want to raise this to 400m, then one quarter of the stops must vanish. The bigger the change in stop spacing, the more stops must be eliminated.

The numbers of stops for various spacings per 1km are shown below:

  • 250m: 4.0
  • 300m: 3.3
  • 350m: 2.9
  • 400m: 2.5
  • 450m: 2.2
  • 500m: 2.0

With the TTC standard of 300-400m, 350m falls half way along, or 2.9 stops/km. Just to bring routes now at a 250m spacing (4.0/km) to that level would require a reduction of about 1.1 stop/km, or about 12 stops each way on a route the length of 505 Dundas (11km).

If the goal is to move to a 400-500m standard, this means the new target average would be 450m. A route whose average is now 250m would lose almost half its stops. This would be extremely difficult as routes do not have that many “unimportant” closely-space stops to begin with.

The effect would not be on a few riders at a few minor stops, but on many riders all along the routes. They would face extra walking distance lengthening overall travel times, not to mention accessibility issues for those with mobility challenges.

A simple, but important, number is not the space between adjacent stops, but the space that would result if any stop were removed. (In other words, the space between stop N and stop N±2.) In some cases, the existing TTC standard would still be met, but in many the gap between stops would be well outside the standard. For example, if three stops are each 300m apart, getting rid of the middle one creates a 600m gap, well above the standard.

Stops cannot simply be re-spaced to maintain uniformity or iron out problems with stop elimination. For pedestrian safety, stops are almost always at signaled intersections or at least at pedestrian crosswalks so that riders can cross safely to/from stops on the opposite side of the street. The existing street layout, signal patterns and major destinations such as transfer points determine where stops might go. Toronto, unlike Manhattan, does not have a repeating grid as a base for designing standards.

In the sections that follow, I will turn to a few sample routes. There are occasional closely-spaced stops, some with good reason, but not many are ripe for plucking without adopting a considerable increase in the standard and substantial cut to the number of stops. This should be a conscious policy debate, not a change buried in a wider review of Service Standards without a clear indication of the effects on routes across the city.

Continue reading

Ups and Downs on the TTC

Anyone requiring a “lift” on the TTC on the morning of April 20 will face a challenge: the passenger intercoms have failed for the entire subway network, and without them the elevators cannot run. TTC updated their alert on this to note that with assistance of station staff, people can use the elevators.

The Passenger Assistance Intercom in subway stations are not working. As a safety precaution, all elevators are out of service until this issue is resolved. We apologize for the inconvenience.

Last updated Apr 20, 2026 05:58:55

The advice changed somewhat later to recognize that elevators could be used with assistance:

Passenger Assistance Intercoms are temporarily out of service. Elevators remain in service, and TTC staff are available at all stations to help. Customers needing elevator access should speak with staff. Customers with accessibility needs can also use Wheel Trans or nearby surface routes. We’re urgently working to restore PAI service.

Last updated Apr 20, 2026 10:35:53

The problem remains at 1:20pm as I write this article.

The practice is imposed by the provincial Technical Safety and Standards Authority (TSSA) who require a working intercom for any elevator for rider safety in case the device fails.

For riders, unless the elevators have a permanent attendant, finding someone to assist in a journey can be challenging, especially in large stations with many elevators and lots of places staff might be found.

A total outage like this is very unusual, and begs the question of how there is a single point of failure that hobbles the entire subway system.

This situation prompted me to look at the TTC’s website where the landing page includes information about elevator and escalator outages. Here is the overview of status by line:

There is also an “On Time Performance” chart that includes tracking of elevator and escalator status:

Those 90%+ values for vertical transport are impressive compared to the surface route stats, but they are below targets only slightly below100%. They do not give a feel for what is going on at the station level. That shows up in details available by opening line-specific folders. Note that the information here does not reflect the system-wide elevator outage. Even when the intercoms come back online and normal service is restored, there will be eight inaccessible stations on Lines 1 and 2 thanks to elevator outages, and many more where at least one escalator is not working.

Lines 4, 5 and 6 stats are below. Note that Metrolinx through their P3 partners, Mosaic and Crosslinx, are responsible for Lines 6 and 5 respectively. The two out-of-service elevators at Sheppard-Yonge are in private buildings and are not maintained by the TTC.

A key part of TTC accessibility planning is to shift riders from Wheel-Trans van trips to, in part, trips on the so-called conventional system. However, without reliable station accessibility this is impossible. Furthermore, many people who are not WT users, but whose mobility is less than ideal, depend on escalators and elevators without which they cannot access the subway. This is not a trivial number of riders.

We hear a lot about TTC State of Good Repair, but this applies more to vehicles, track, signals, and power supplies. Trains that move are obviously a key part of the system, but for riders who cannot get to and from platforms, the subway does not really exist.

Subway Work Car Hydraulic Fluid Spills Update

TTC’s Line 2 Bloor-Danforth subway service suffered two major interruptions on Tuesday, April 7 and Friday April 10 due to work cars developng leaks in their hydraulic systems and fouling rails for normal revenue service.

At its April 16 meeting, the TTC Board received a preliminary report from Hatch, the consulting engineers who also reviewed a similar incident in 2024. The images in this article are taken from the Hatch presentation deck.

RT-6:

RT-6 is a vacuum excavation car that is about 7 years old. The failure was caused by an incorrectly installed part during recent maintenance (date unspecified) by TTC.

The recommended next steps are:

  • Review the installation process for areas of potential incorrect assembly and develop improvement steps and protocols.
  • Inspect other work cars with similar fittings repaired over the last 3 to 4 weeks and recertify work performed as a containment measure.
  • Send the failed O-ring for analyses to confirm failure mode, chemical composition and mechanical properties. [p. 4]

RT-17

This car is close to 30 years old. The fault lay in a defective valve on the car. The report does not state how recently this valve was installed. The valve was defective as supplied, but this was not caught by TTC before it was installed.

Next steps:

  • Immediately identify and quarantine all similar manifold assemblies, including on-car and in-stock inventory.
  • Supplier to perform failure analyses on RT17 manifold assembly including inspection of the FCV mounting geometry and analyse of the O-ring (material, mechanical properties)
  • Supplier to develop and implement a quality control policy that assures specification compliant assembly of the units and a pre-ship inspection process
  • Review TTC’s incoming inspection process for vendor supplied hydraulic components where there is a concern and ensure they are compliant to the manufacturing specifications before they are assembled into work cars. [p. 6]

The Hatch review states that these incidents are:

  • Random in nature
  • Could not have been predicted.
  • Do not appear to be atypical
  • Not uncommon for a similar sized transit authority such as the TTC. [p. 2]

These findings do not entirely line up with the details cited above. In both cases, there were failures waiting to happen. For RT-6, the significant factor appears to be incorrect maintenance. For RT-17, the shortcoming lies with a combination of the manufacturer and incoming parts inspection by TTC.

The events were “random” and unpredictable in that the time to failure after parts were installed could not be known. However, shortcomings in maintenance and parts inspection are both generic issues that could affect other parts of the fleet. Saying these are “not uncommon” in effect excuses these shortcomings.

Failing Parts Are Not The Only Issue

A common source of extended delays on Line 2 is failures of the signal system. Much of this dates from the original Bloor-Danforth subway built in the 1960s, and it has been overdue for replacement for several years. An original plan to implement Automatic Train Control with new signals was on the books in Andy Byford’s day as TTC CEO, but it was delayed by his successor to trim the capital budget. The project is back on the books, but the new system will not enter service until 2037 once new trains for line 2 (another delayed project) are delivered.

TTC management claims to have a plan to keep the existing signals working for another decade, but there are no details of what this entails. The Board asked no questions about signals even though there have been failures recently, notably one on April 9 in the week of the two hydraulic failures.

Thanks to bad planning under a previous regime at the TTC, Toronto faces a decade with aging trains and signals on Line 2, and this will no doubt undermine attempts to provide reliable service.