TTC Capital Budget 2017-2026: Streetcar Infrastructure

As the final installment in my review of streetcar operations and costs, this article catalogues the items in the TTC’s Capital Budget that are explicitly part of the streetcar system’s operation. It is not intended to provide a comparative view of the costs that would apply to a replacement bus-based network as that would require major new facilities and fleet whose costs I will not attempt to project.

This does not include costs for components that are common to all modes and which would exist regardless of the type of vehicle in use. For example, building repairs such as masonry and roofing will be required whether a building is a streetcar barn or a bus garage.

The full list of projects can be found in the TTC’s Capital Budget Report from November 2016 in Appendix E (begins on p. 17 of the pdf). A short guide to reading this report is in order. Here is a sample from the first set of streetcar projects. (Click to expand.)

The columns of figures reading across give:

  • Spending to the end of 2015
  • Probable spending in 2016
  • Annual planned spending in 2017-2026
  • Spending beyond 2026 (if any) for projects that will not yet be completed
  • The ten-year total for 2016-25 (the value in the previous budget)
  • The ten-year total for 2017-26
  • The estimated final cost (EFC)

The rows reading down give:

  • “B”: The value in the previous budget
  • “P”: The proposed value in the current budget
  • “C”: The change between these values

As an aside, it is worth scrolling through this list to see the large proportion of projects that relate in one way or another to the subway system, and its needs for ongoing infrastructure maintenance and renewal.

The streetcar-related items are summarized in a spreadsheet linked below. They are broken into two groups: projects that are ongoing (recurring capital maintenance) and projects that have a finite lifespan (purchase of vehicles, construction of new facilities, generational renewal of infrastructure).

CapitalBudget2017_StreetcarInfrastructure

The recurring items consist primarily of track renewal. These costs are high in early years because the TTC is just catching up with a backlog of work created by poor construction techniques in the period from the 1970s (when the decision to keep streetcars was taken) and 1993 (when track construction quality substantially improved).

Special work (the complex castings at intersections) installation moved to a new standard about ten years later, and the TTC is close to half way through upgrading all special work to the new standard. Installation techniques have also changed substantially with track pre-assembled and welded in panels that are delivered to worksites for direct placement. This allows a full intersection to be demolished, removed and replaced in about a week as in the recent Dundas-Parliament project.

This is described in the following scanned pages from the budget “blue books” which contain detailed information on each project (not available online). [Updated: Incorrect links to some of the images below have been corrected.]

Included here is the five-year plan for track renewal. A few points in this plan should be noted:

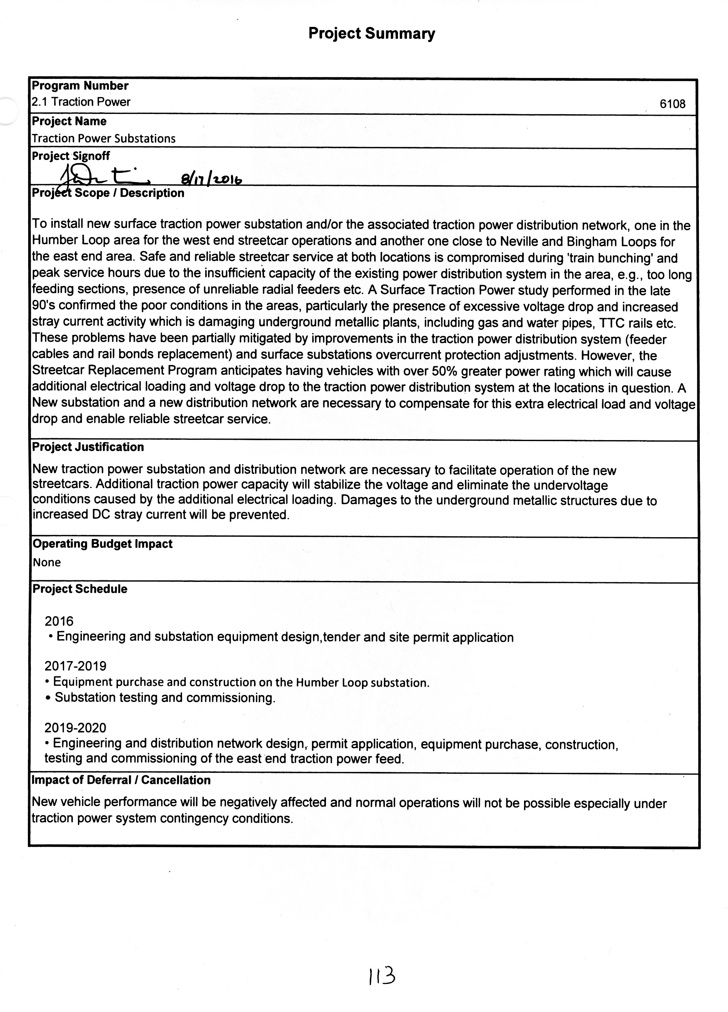
  • Work on Lake Shore from Humber Loop to Symons is on track that is only about a decade old. However, there have been electrolysis problems in this area related to poor ground return and the distance from a substation that will be corrected both by track renewal and the installation of a new substation at Humber Loop. This trackwork requires only the removal of the surface layer of concrete (the depth of the rails), and new rails will be attached to the existing tie structure. West from Symons to Dwight the project requires complete reconstruction of the track to current standards. This work will begin on June 26.
  • Work on Wellington Street has been split into two phases with the section east of Yonge deferred to 2018 to avoid conflict with planned work by Toronto Hydro in fall 2017.
  • Work listed for Adelaide Street in 2021 involves removal of the existing inactive rails, not reintroduction of streetcar operations west of Victoria.
  • 2019 will see the reconstruction of all track at King/Queen/Roncesvalles including the carhouse entrances, as well as creation of a right-of-way west to Parkside Drive. This is explained separately below.

The surface traction power system consists of the overhead contact wire and its suspension, poles, feeder cables and substations. The TTC is part-way through upgrading this infrastructure so that it can convert to pantograph operation, probably in the 2019-20 timeframe. Current plans include retrofitting pantographs to the rebuilt ALRV fleet that will remain in service until the mid-2020s. The fate of historical vehicles such as the PCCs has not yet been decided.

The map of the conversion process is generally correct, but shows as “completed” some sections that are still not pan-compatible overhead notably the curving sections of Broadview Avenue and Lake Shore Boulevard.

The electrical situation on the inner portion of the “Long Branch” route from Humber Loop to Symons suffers from electrolysis problems as noted above. Here are the related project descriptions.

Other ongoing work includes upgrading components of the power distribution system to modern technology and for operational flexibility.

A long-standing issue on the streetcar network has been the poor reliability and failure of the electric track switching systems. The current model dates back to the introduction of the ALRV fleet when the existence of cars whose trolley poles further away from the front of the car than the rest of the fleet made the overhead contactor systems dating back to early TTC days obsolete.

The TTC has spent an inordinate amount of time examining a replacement system considering its effect on operations and safety. This work has finally reached the point where a tender for the new system will be issued soon with installation to begin in 2018.

The existing carhouses at Russell and Roncesvalles, as well as some facilities at Harvey Shops (Hillcrest), require changes and upgrades to service the new Flexity Fleet. Eventually, of the 204 cars now on order, about 50 will be at each of the old carhouses, and the remainder at Leslie Barns. (Leslie also has capacity for the 60-car add-on order that has been proposed.)

This project is already underway as show in the Gantt chart.

The Surface Way section works out of temporary quarters at both carhouses with trailers scattered around the yards, as well as from a building at Hillcrest. This project creates a new, consolidated facility for the section to improve its work environment and productivity, and to free up space at carhouses now occupied by the trailers.

 

9 thoughts on “TTC Capital Budget 2017-2026: Streetcar Infrastructure

  1. If they plan to remove the track from Adelaide, why are they going to upgrade the overhead?

    Steve: This is partly a left hand/right hand problem. However, there are feeders along Adelaide that take power further east and they have to stay in place.

    But yes, it has been a confusing situation. I cannot help wondering how much of this was organizational thanks to streetcar overhead (and related stuff) being hived off under subway operations some years back. It has now returned where it belongs.

    Like

  2. David Youngs said: “If they plan to remove the track from Adelaide, why are they going to upgrade the overhead?”

    I think they mean (or hope they mean) they are going to remove the remaining “wrong way” track on Adelaide. There’s a section west of Victoria and another west of Bay.

    Steve: No, they are removing all of the track. This was confirmed to me by an email from the TTC a week ago.

    Like

  3. Hi Steve – From the looks of things up here, St Clair is already panto-ready but with much overhead done during the platform rehab in summer 2016. The chart, however, indicates a 2019 completion date: Is this correct? I would be great to see panto operation on St Clair this fall when the new trams are introduced.

    Steve: That chart has a lot of errors in it, and it gives some indication of how well-organized the TTC is on this project. Here is the TTC’s response to my query about future panto ops on St. Clair:

    Streetcar Overhead is completing installation of a hybrid pole-pantograph overhead (hybrid) system. This hybrid system will be used to transition from pole to pantograph operation. Once all of the Legacy vehicles are decommissioned, the hybrid overhead system will be converted to a 100% pantograph design. Testing of the pantograph on the hybrid system will commence in July.

    Full pantograph operations on the St Clair route will not commence until Q3 2018. This timing will coincide with completion of station modifications at St Clair West. It will also coincide with testing of the pantograph on the hybrid system. Deployment of vehicles from the Carhouses to St Clair on pantograph mode will be reviewed and considered once all modifications and tests have been completed.

    Like

  4. Would love to see the faces of TTC Design folks if those maps were put under their noses. What was the thinking there – that using green to use completed track would be somehow confusing to people? But let’s use red, orange and pink too…

    Did TTC ever consider moving to 750V for the downtown network, perhaps after Flexity rollout completed? (Presuming the Flexities are able to switch voltage without much fuss) While there would be implications for resistors and for clearance in tight spots, the ability to provide more power at the same amperage (or the same power at lower amperage) would be attractive surely.

    Steve: No, there has been no consideration of changing voltage. That’s really not a trivial modification as it would affect every substation feeding the network.

    Like

  5. So it’s solved the mystery of why they did not put in the east to north curve at King & York and north to east at Adelaide & York. The usual TTC shortsightedness… No south to east curve was installed at Dundas and Parliament and if I were to bet, I would put money on no new curves when the Broadview intersections are rebuilt.

    Steve: The spec for the Broadview/Gerrard special work did include a north to west curve, but I don’t know if this survived into the final version.

    Like

  6. Thanks for all this information. Too bad that the TTC are giving up on Adelaide west of Victoria as it would really make a good diversion route. Too bad too that they do not seem to have a real idea of how their track should be used, an east to north curve on King at York would surely be useful and the north to west at Broadview seems like a no brainer. A west to north at King and Parliament would also be handy but I suspect that one would not actually fit.

    Do the folks who decide on track layouts actually talk to the folks who have to deal with diversions and scheduling? It seems to me they simply replace exactly what was there in 1925, without taking account of the fact that much track has actually been removed in the interim!

    The installation of new poles and overhead seems equally ad hoc to me. I have watched them replace poles all over downtown and leave one or two old ones. Naturally the pole guys had to return to deal with them when they start the overhead work. I bet it would have been cheaper to replace (and remove) all the poles on a street or block at the same time.

    Steve: Occasionally there is a third-party attachment to a pole that has to be shifted, but yes, the sequence of some of the work does seem odd in spots.

    Like

  7. I noticed that the Roncy intersection project summary refers to 508 Lake Shore streetcars car. I thought those weren’t a thing anymore. Are there any plans for them returning in the future?

    Also, not sure if I’m reading right, but are they putting in an eastbound platform on Queen east of the Roncesvalles intersection? is there room there? Do they maybe mean a bump-out? I’m having a hard time visualizing that, and seems like there’s a lot more room where the existing platform is, especially if they’re taking out the right-turn channel. This also means there is no eastbound stop for streetcars going on King, which isn’t really an issue now, except they mention the 508. Maybe they’ll also add a stop there too.

    I think I mentioned this in an earlier post, but I wish they built tracks on Richmond and Adeleide from Bathurst to Parliament, with permanent “service diversion” stops. Even if it’s just done in pieces over the next 5-10 years, would be great for all the times Queen and King get blocked.

    Steve: That intersection project has been on the books for some years, and the 508 was still a real service when the idea got started. Even without a “508” per se, a comparable route is still one of the proposals for a “Waterfront West LRT”, although not an ideal one because of the congestion which we know too well here.

    The proposed platform east of Roncesvalles on Queen is a “bump out” like the stops on Roncesvalles, and it is in aid of creating an east to north left turn lane where the eastbound safety island is now. In turn, that is supposed to handle traffic that now turns north into the residential neighbourhood west of the carhouse. Yes, once again, transit is taking a back seat to moving autos, and I worry that we will see another arrangement where a “transit priority” signal actually reduces the speed of transit operations.

    You are correct in saying there will be no platform for cars headed east on King, and, yes, the right turn channel is going away. This means a WWLRT via this route would not stop at Roncesvalles, a perfect example of the left hand/right hand problem we see so much of. However, I suspect the WWLRT if it is ever built will take another route and so this won’t be an issue.

    Like

  8. In the past I noted how the TTC built new hybrid overhead at Dundas and Church shortly before the intersection was due to be torn up and replaced. Why would they do that when they usually need to take down the overhead for construction?

    In another stellar example of bad TTC management, they have been replacing the overhead at Broadview and Gerrard during the daytime while the 505 was on diversion which of course blocked 504/505/506 cars for 10-15 minutes at a time. Why did management suddenly decide this was the time instead of waiting a few weeks when they knew the 506 east of Parliament was going to be bustituted??? (Buses which as per TTC tradition I observed running in pairs on day 1.)

    Again with more bad management, the TTC went on a curb cut construction binge last year and the year before but oddly the one place where Flexity cars actually see regular service and passenger volumes are highest, there are absolutely no curb cuts at all! Take a look at the stops on King in the financial district… there are none! Get a clue!!!

    For any TTC management who might be reading this, get your **** together.

    Like

  9. My apologies to TTC management. I was wrong. While there are no curb cuts for the 514 Flexity cars in both directions at Yonge and both directions at Bay, there is a lone curb cut for eastbound King at University (but not westbound.) 1 for 6 isn’t bad.

    Like

Comments are closed.