The TTC Board met to discuss various matters of which the most substantial were:
Continue readingYonge Subway Extension
TTC Proposes Massive Fleet Plan
At its meeting on October 22, the TTC Board will consider a report setting out plans to purchase new buses, streetcars, subway trains and Wheel-Trans vans in coming years.
TTC Fleet Procurement Strategy and Plan
In an important departure from typical practice, the City is setting out its position including what can be achieved with already-committed City funding without waiting for confirmation of contributions from other governments. Both the provincial and federal governments will face voters sometime in the next few years, and this, in effect says “come to the table”.
The plan has many strong points although some important details are missing. Key to this plan is that it is a system plan, not a scheme for one tiny chunk of the network nor a flavour-of-the-day announcement from one politician.
Overview
The TTC proposes acquisition of hundreds of new and replacement vehicles over the coming years:
- From 13 to 60 new streetcars from Bombardier to be delivered between 2023 and 2025.
- Approximately 300 hybrid-electric buses for one or both of the two qualified suppliers to be delivered between 2022 and 2023.
- Pending outcome of technical evaluation and product comparison work now underway, approximately 300 all-electric long-range buses in 2023 to 2025.
- 70 Wheel-Trans buses for delivery in 2022 and 2023.
- 80 subway trains to replace the existing fleet now used on Line 2 and to provide for future service improvement with ATC (automatic train control).
That list is only part of a larger scheme shown in the table below.
The “ask” for funding on these projects is based on the full quantity of vehicles (column 2 above) as opposed to what the TTC can achieve with only the City’s contribution (column 3).
A political problem for the TTC is that they are seeking funding for the ten year plan within the next few years even though some of the spending is in the latter part of the decade.
For example, the buses are unlikely to be contracted on one big purchase that would lock in a single supplier, and a new contract would be tendered two or three times during the decade. Similarly, the quantity of Wheel-Trans buses represents far more than one fleet replacement (as of June 30 there were about 280 WT buses). Part of this funding would not be required until late in the decade when the next purchases would be at end-of-life.
Commitments that far off are unlikely to be made by either the provincial or federal governments both of which would face at least one if not more elections in the meantime.
A further issue is that there are many more projects in the TTC’s long-range capital plan than the ones listed here, and there is no sense of relative priority for things like ongoing infrastructure maintenance. If the vehicles program soaks up all available funding, other projects could find that the cupboard is bare.
Missing from this report is an overview of the cash flow requirements for each project and the point at which money for each component must be secured. Projects with long timelines such as ATC installation need early commitment even though they would not finish until late in this decade or possibly longer. The same does not apply to the cyclic renewal of the bus fleets and some of the associated infrastructure.

To support the electric vehicle purchases, the TTC together with Toronto Hydro and Ontario Power Generation (OPG) are working on plans for the charging infrastructure that will be required to move to a zero emissions fleet by 2040 in regular buses, Wheel-Trans and non-revenue vehicles.
The subway train order will likely grow because Metrolinx would piggy-back the needs of the Yonge North extension to Richmond Hill and the Scarborough extension to Sheppard for economies of scale and consistency of fleets on the two major rapid transit lines. However, the cost will be on Metrolinx’ account because these are now provincial projects. There is a danger that if future provincial funding is constrained, the provincial projects could elbow aside requests for local projects.
The committed and required funding amounts are set out below.

1: Number of Vehicles reflects the current fleet plan as described under the Comments section of the report.
2: Estimated Total Costs includes the following: (1) vendor contract payments for vehicle design, production, delivery and commissioning of vehicles; and (2) delivery costs including procurement, project management, engineering, quality assurance, and project contingency
3. Total Estimated Cost has been revised from $5.84 billion (Class 5) to $6.17 billion (Class 4).
The City’s share is provided by the City Building Fund, a supplementary property tax introduced in the 2020 budget, together with funding that had been allocated to a planned rejuvenation of the Line 2 subway fleet for an additional decade of service. Now that those trains will be replaced, the money set aside to refresh the old fleet is available for this project.
| City Building Fund Project | $ millions |
| Bloor-Yonge Station Expansion | $500 |
| Line 1 Capacity Enhancement | $1,490 |
| Line 2 Capacity Enhancement | $817 |
| Line 2 Automatic Train Control | $623 |
| Other Critical Subway State of Good Repair (Note 1) | $160 |
| New Vehicles and eBus Charging Systems | $1,140 |
| Total City Building Fund | $4,730 |
The vehicle procurements are funded on the City side by a combination of CBF monies (see above) and the previous allocation for renovation of the Line 2 fleet of T1 trains.
| Project | $ millions |
| 80 New Subway Trains | $ 623 |
| T1 Overhaul and Maintenance to 2030 | $ 74 |
| Procurement of Buses | $ 686 |
| eBus Charging Infrastructure | $ 64 |
| Wheel-Trans Buses | $ 22 |
| New Streetcars | $ 140 |
| Total | $1,609 |
| Existing Approved Funding (T1 Life Extension) | $ 474 |
| City Building Fund | $1,140 |
| Total | $1,614 |
Combining the $1.61 billion above with the Line 2 ATC funding brings the City’s total to about $2.2 billion. The TTC and City invite their partners at the provincial and federal levels to make up the difference of just under $4 billion between City allocations and the total required for this portion of the overall capital plan.
The City’s strategy is to start spending its $2.2 billion and hope that the other governments will come in for their share. There are elections at both levels that could provide some leverage, but there are also problems with Toronto’s appetite for capital compared to other parts of Ontario and Canada.
Continue readingDrifting Timelines on Metrolinx Projects (Updated)
Updated June 23, 2020 at 1:50 pm: The table of projects has been updated to include anticipated events, notably “financial close” dates, that were included in various project announcements by Infrastructure Ontario. Also Union Station Platform Expansion was described in the original version of this article as closing sooner than originally projected. This has been corrected to show a delay of roughly nine months.
Infrastructure Ontario recently released its Spring 2020 Update for P3 projects under its control including several Metrolinx projects. To date there have been three of these updates:
These updates include information on the project status, the type of procurement model, and the expected progress of each project through the procurement process. This provides “one stop shopping” compared to Metrolinx’ own site. As a convenience to readers, I have consolidated the three updates as they relate to transit projects to allow easy comparison between versions.
Some projects have evolved since the first version, and in particular the delivery dates for a few projects have moved further into the future. The “financial close” dates for some projects, in effect the point at which a contract is signed and real work can begin, has moved beyond the date of the next Provincial election. Whatever government is in power after summer 2022 will have a final say on whether these projects go ahead.
Subway Projects
Ontario Line
The Ontario Line was previously reported as a single project with a price tag of over $10 billion. In the Fall 2019 update, the intent was to have the financial close in Winter/Spring 2022 ahead of the election. In the Winter 2020 update, this changed to Spring 2022.
In the Spring 2020 update, the project has been split into separate parts to reflect industry feedback about the original scope.
- GO Corridor from Don River to Gerrard
- South Tunnels, Civil Works and Stations CNE to Don River
- Rolling Stock, System Operations & Maintenance
- North Tunnels, Civil Works and Stations
The GO corridor work will be done as a conventional procurement by Metrolinx and will be bundled with upgrades to GO Transit trackage.
The financial close for items 2 and 3 above is now Fall 2022, and for item 4 it is Fall 2023.
This means that an actual sign-on-the-dotted-line commitment to the project will not be within the current government’s mandate. Even the so-called “early works” comprising the southern portion of the route from Exhibition to the Don River is not scheduled to close until Fall 2022. The northern portion, from Gerrard to Eglinton will close in Fall 2023. This contract is being held back pending results for the south contract to determine the industry’s appetite for the work.
The southern portion, with a long tunnel through downtown and stations in congested street locations would start first. However, the line cannot actually open without the northern portion because this provides the link to the maintenance facility which is included as part of item 3 above although the actual access connection would be built as part of item 4.
An issue linking all of these projects is the choice of technology which, in turn drives decisions such as tunnel and station sizes, power supply, signalling and maintenance facility design. When the Ontario Line was a single project, Metrolinx could say that this choice was up to the bidders, but now there must be some co-ordination to ensure that what is built can actually be used to operate the selected technology. It is hardly a secret that Metrolinx is promoting a SkyTrain like technology, although which propulsion scheme (LIM vs rotary motors) is not clear. There are well-known problems with LIMs and the power pickup technology used on the SRT, and this would also be a consideration for the outdoor portions of the Ontario Line.
Scarborough Subway Extension
Like the Ontario Line, the Scarborough Extension has been split into two pieces. The first will be the tunnel contract from Kennedy Station to McCowan. This is now in the procurement phase, and financial close is projected for Spring 2021.
The remainder of the project previously had a projected closing date of “Winter/Spring 2023”, but this is now just “2023”. With the tunnel hived off into a separate contract, it is reasonable that the remainder would have a later start date because the tunnel is a key component that must be in place first.
Metrolinx recently published a Preliminary Business Case for this extension. It includes the following text:
Kennedy Station Pocket Track/Transition Section
The Kennedy transition section extends roughly 550 metres from the east side of the GO Transit Stouffville rail corridor to Commonwealth Avenue and will include special track work and a pocket track to enable every second subway train to short turn to suit ridership demand and minimize fleet requirements, as well as lower operating costs. [p 24]
This turnback has been an on-again, off-again part of the project but it is now clearly included as a cost saving measure. With only every second train running to Sheppard/McCowan, the fleet required (as well as storage) would be within the system’s current capacity. This ties in with the timing of the T1 fleet replacement on Line 2 as there are enough T1s to run alternate, but not full service to Sheppard. This would be similar to the arrangement now used on the TYSSE where only half of the AM peak service runs north of Glencairn Station to Vaughan.
Richmond Hill Subway Extension
The Ontario government recently signed an agreement with York Region for the extension of the Yonge line from Finch to Richmond Hill. The status of this project is unchanged with an RFQ to be issued in Fall 2021, an RFP in Spring 2022 and financial close in Fall 2023.
Sheppard East Subway Extension
This project remains in the planning phase.
TTC Announces Capital Spending Plan For City Building Fund (Update 2)
Updated January 23, 2020 at 12:10 pm: The TTC has responded to queries about the acquisition of land for new yards for subway lines 1 and 2. The updates are flagged within the text of the article.
Updated January 27, 2020 at 9:30 am: The section on new streetcars has been corrected to state that 60 more cars is the limit on what the TTC could handle, including the use of Exhibition Loop for storage and the renovation of Harvey Shops at Hillcrest as a carhouse for central routes like 512 St. Clair. Previous text stated that 20 was the limit on fleet growth.
The TTC has released a report detailing its planned spending of the newly-allocated funds from Toronto’s City Building Fund. This will be discussed at the TTC Board meeting on January 27, and will go to Toronto Council for incorporation in the 2020-2029 Capital Budget.
Major changes in capital spending include:
- A return to renewing and upgrading Line 2 Bloor-Danforth as a project for the current decade. This work had been postponed thanks to a lack of funding and, until recently, was replaced with a proposed overhaul of the existing T1 fleet aimed at an eventual lifespan of 40 years. Replacement of the 1960s-era signal system with Automatic Train Control (ATC) has also been restored so that new trains, not to mention the Scarborough extension, can operate under modern technology within this decade.
- Additional funding for capacity enhancement on Line 1 Yonge-University-Spadina.
- A large commitment to bus purchases including electric vehicles.
- Partial renewal of the Wheel-Trans bus fleet.
- Purchase of 20 new streetcars.
Three quarters of the newly-available funding goes to subway renewal, and even then, the subway projects will require additional money to be completed. Many items in the TTC’s 15 Year Capital Plan remain unfunded, and there are obvious opportunities for generous governments to come to the table and fund aspects of the plan.
Line 2 Renewal
When the TTC deferred the projects associated with Line 2 Renewal, they created a potential collapse of that route thanks to aging vehicles and infrastructure. The T1 trains serving Line 2 were delivered between 1995 and 2001, and replacement of them should have begun in the mid-2020s corresponding to their 30 year design life. The alternative plan to extend this by 10-years depended on an as-yet unproven major overhaul. If the TTC has learned anything from its experience with the streetcar fleet, there are limits to the new life that can be breathed into old equipment especially if the overhaul is more cosmetic than a thorough replacement of technical components.
The other major component of Line 2 Renewal is the replacement of the signal system which dates from the mid 1960’s. If this did not get underway within the coming decade, the TTC could be left with a 65 year old signal system on Line 2 and all of the reliability problems that represents as we know from experience on Line 1. The non-ATC territory on Line 1 dates from the early 1950s (from Eglinton south) to the early 1970s (north to Finch), and problems with this technology are a common source of delays. (ATC will be extended “around the U” from St. Patrick to Queen Station within the first quarter of 2020, and the section from Queen to Rosedale will follow later in the year. Completion to Finch is scheduled for 2022.)
An important factor in plans for Line 2 is the timing of the Scarborough Extension originally planned for 2026, but now pushed out to 2029-30 in Provincial plans. This extension should be built and operated with modern trains and signalling technology, but deferral of the Line 2 Renewal would have meant that the extension to Sheppard would have to be built with provision for co-existence of old and new trains and signalling. This is precisely the sort of plan that complicated the Vaughan extension which, astoundingly, did not include ATC in its original design.
The plan now calls for 62 new trains for Line 2 for delivery between 2026 and 2030. This is a full replacement for the existing fleet and considerably exceeds the 46 peak trains now required for the line even allowing for 20% spares making provision for future growth. There is also the matter of additional trains for the Scarborough extension, although these should be funded by Ontario as part of that project. Whether they actually will be is another matter.
The money allocated from the City Building Fund will only pay for one third ($458 million) of the anticipated cost of the new trains. This is a clear invitation for joint funding from other governments.
The T1 fleet will receive a minor overhaul necessary to extend its life until the new trains arrive.
There is an odd description of this project in the report’s recommendations:
$458 million, representing approximately 1/3 of the 10-year cost for 62 trains, to replace the legacy fleet of T1 trains on Line 2 required for delivery in 2026 through 2030, and which will require an additional $122 million to fund the 1/3 cost between 2030 and 2034. [p 3]
It is not clear whether all of the trains are supposed to arrive in Toronto by 2030 (which would fit with the completion of ATC conversion and opening of the Scarborough extension), or in later years as the funding described above implies. The yearly spending breakdown clearly shows the majority of the spending on new Line 2 trains beyond 2029, and this does not fit with the renewal plans. (See chart at the end of the article.)
The ATC project for Line 2 now lies in the same period as the delivery of new Line 2 trains so that by 2030 the trains, the signals, and the extended subway are all running up-to-date technology.
Line 2 will also require a new carhouse on land that the City of Toronto is acquiring (or may already have bought) southwest of Kipling Station, the old Obico Yard. The plan provides for acquisition and design, but not yet construction which is unfunded.
Updated January 23, 2020: In response to a query about the status of the city’s acquisition of Obico Yard, the TTC replied:
Yes it has already been acquired by the City but the market value assessment is being contested so funds are being secured for potential settlement. We’re also in negotiations to secure a second parcel of land to maintain access to the site. [Email from Stuart Green, Jan. 23/20]
Greenwood Shops will require changes to host new 6-car trains similar to the TRs now operating on Line 1. Originally, the plan was for this yard to be the carhouse for the Relief Line as well as for some of the work car fleet. The detailed plans for Greenwood are not included in this report.
Other funding for Line 2 includes a variety of projects in the state of good repair category that were previously unfunded, but most importantly the upgrade of the power supply system which needs both modernization and additional capacity for projected extra load from more trains.
Even with all of the new money, there is still a funding gap to complete all of the work that has been identified.
Line 1 Renewal and Upgrades
The existing TR fleet serving Line 1 does not require replacement within the timeframe of the Capital Plan, but more trains are needed to provide additional capacity on the route. The report allocates $165 million to one third of the cost of 18 trains to be delivered in 2026-2027. Again, this is a clear budget provision for other governments to come to the table with funding.
The compete conversion to ATC in 2022 will allow a reduction in round trip time on Line 1 so that the existing fleet can provide slightly more frequent service, but the proposed additional trains will allow full exploitation of ATC’s capabilities.
This, however, triggers capacity problems with stations, notably at Bloor-Yonge but also at major stations downtown where the flow of passengers to and from platforms will increase with more frequent service. As on Line 2, there is a need to upgrade power supply systems both to bring infrastructure up-to-date and to provide added capacity for more frequent service.
Also, as on Line 2, there is a gap between the funding allocated and the total cost of various projects.
Line 1 will require a new subway yard, and the TTC proposes to acquire land for it in York Region and design the facility. Why this is part of the Toronto City Building Fund spending is a mystery.
Updated January 23, 2020: In response to a query about Toronto paying for a yard that would be on the Richmond Hill extension, a provincial project, the TTC replied:
Referring to page 14 of the report, it is projected that additional vehicles beyond the 18 trains required in 2026 will be needed for growth of TTC’s existing system. As pointed out, the additional trains serving the Line 1 extension into York Region will also require new facilities for storage and maintenance. The TTC and MX are working together to scope requirements both independently and for a joint solution that meets the needs for Line 1. Whether the land can be found to serve future needs of both Line 1 Extension and TTC’s future growth needs remains to be seen but either way we need to budget for land. [Email from Stuart Green, Jan. 23/20]
Line 4 ATC
The plan include provision of ATC on Line 4 Sheppard. The trains there are ATC-capable, but software changes are required for the 4-car consists to move over the rest of the subway system which is designed for 6-car trains. This becomes an issue once ATC on Line 1 extends north of Davisville Yard where Line 4 trains are serviced.
Buses
The plan allocates $772 million to the purchase of buses and associated infrastructure:
- $686 million for the procurement of 614 of the estimated 1,575 new buses required over the next decade.
- $64 million for eBus charging stations at garages.
- $22 million for the purchase of 232 Wheel-Trans buses of the estimated 498 required.
As with the subway projects, the bus projects require additional funding. There is a further problem in that the existing fleet will reach its retirement age, and without full funding, the number of vehicles available for service will drop precipitously as shown in the chart below.
The TTC has not yet published a consolidated plan for the conversion of its bus garages and fleet from diesel/hybrid to full electric operation, and so we do not know what other capital requirements lurk in future years to complete this work.
Streetcars (Corrected)
The report retains the proposal from the 15 Year plan for 60 more streetcars, but as with many other aspects of the scheme, only allocated funding for one third of this project, or 20 cars. As with so much else in the report, this is a clear invitation for participation by other governments.
These 60 cars would take the TTC to the limit of what it can handle with existing carhouses, including conversion of Harvey Shops as a small carhouse for central routes and the overnight storage of cars at Exhibition Loop.
20 cars would bring the total fleet to 224 assuming that the warranty repairs on the existing fleet will be completed by the time new cars arrive. This would support a peak service of about 186 cars assuming 20% spares, or 26 cars more than the current peak streetcar service. This would allow full restoration of the streetcar system, but would not leave much room for improved service, and the remaining 40 cars in TTC plans should not be ignored, let alone another 40 projected for growth in the 2030 timeframe.
A related issue here is the status of the Waterfront LRT extensions east to Cherry and south to Villiers Island, as well as west to the Humber Bay. More cars will be required for these extensions and that will add to pressure for carhouse space.
Miscellaneous Subway Infrastructure
The plan includes considerable spending in the second half of the 2020s on state of good repair for subway infrastructure. This relieves a looming problem where the subway could begin to fall apart through lack of maintenance and the attempt to worn-out equipment in service. The plan also accelerates work such as asbestos removal as part of overall efforts to improve subway air quality and as a prelude to structural renewal for the aging tunnels.
Overall Spending Plans
The chart below shows the overall capital plan including the detail of the subway infrastructure spending. This is not the total budget, only those portions paid for through the City Building Fund. The TTC’s shopping list for additional contributions is quite clear with many of these lines only partly funded from the CBF.
Indeed, there is an implicit assumption that many of these works can be launched with the expectation of more funding to come, a lot of which is not even required until after election cycles at all level of government. Will our future masters will be more inclined to fund transit?
Toronto Council Approves Ford/Tory Transit Deal With Minor Amendments
On October 29, 2019, Toronto Council approved the proposed deal between the City and the Province of Ontario whereby the Province takes full responsibility for construction of four new rapid transit projects while the City retains control of the existing subway. The details of that agreement were examined in previous articles and I will not repeat their content here.
- A Big Announcement, or a Transit Three Card Monte?
- The Ford/Tory Subway Plan: Part II – Technical Appendices
The debate ran all day, and it is no surprise that in the end the vote went in favour of the deal. Queen’s Park is in a position to impose its will on the City, and the offer of “free” new lines and retention of control of the TTC’s existing network was too much to turn down. Moreover, this becomes the Mayor’s signature transit “accomplishment” while his previous fantasy, SmartTrack, is a shadow of its original promise, for practical purposes a dead issue.
Several amendments were adopted in an attempt to put conditions or restraints mainly on the Ontario Line project. These are really more suggestions that the Province might, if it’s not too much trouble, modify aspects of their plans. However, Council is in no position to impose any conditions on Provincial actions as they have ceded control and pledged co-operation for whatever the Province eventually builds.
The following motions were adopted (quoted text is from the Council agenda item EX9.1 Toronto-Ontario Transit Update).
A Big Announcement, or a Transit Three Card Monte?
On October 16, the governments at Queen’s Park and Toronto City Hall announced a deal to sort out competing transit plans for the city. The current provincial priority projects are the Ontario Line (Don Mills/Eglinton to Exhibition), Scarborough Subway extension from Kennedy Station to Sheppard, Yonge Subway extension from Finch to Richmond Hill, and the Eglinton West LRT extension from Mount Dennis to Renforth.
The main City of Toronto report will be discussed at Executive Committee on October 23, and then at Council on October 29-30.
This article reviews that report with reference to a few parts of its many attachments. I will turn to the technical attachments in a second article. To focus material on each subject for readers, I have grouped related items together or re-sequenced things for emphasis. There are extensive quotations of key material so that readers hear not just my “voice” but that of the report’s authors.
Despite the importance politicians at both levels place on the proposals, the fundamental problem remains that many of the details are cloudy, to be kind. Specifically:
- The City of Toronto retains ownership of the existing transit system avoiding a complex realignment of responsibilities and governance, but with this comes total responsibility for funding the ongoing state of good repair.
- A large gap remains between the amount of funding needed to maintain and expand Toronto’s transit system relative to the amounts actually available and committed in budgets at various levels of government.
- Ontario will build four key projects substantially with its own money, but continued support for transit beyond this is uncertain.
- Toronto will redirect funding originally earmarked for its share of the key projects to other priorities, notably the TTC’s repair backlog. However, much of that “funding” does not exist as allocations in existing budgets and new money is required from Toronto to pay its share.
- Cost estimates for the key projects are based on preliminary estimates that could change substantially as the design process unfolds. These estimates are in 2019 dollars and make no provision for inflation. The reports are silent on how the proportion of total spending by each contributor might change over the decade or more of construction.
- A substantial total of project costs will be born by private sector partners through a “P3” financing mechanism. These arrangement will require future payments for what will be, in effect, a capital lease, but the mechanism for funding this from three levels of government is unclear. The reports are silent on the split between short term borrowing to pay for construction as opposed to long term payments to the P3 financier.
- Project details as they are known today will change in response to design work and the need to keep costs within the projected level. This will affect alignments and stations, and what we think we are buying could be quite different from what we actually get.
The challenge in all of this is, as always, the question of money. We can watch the hands of politicians and managers at all levels as they shuffle cards on the table. We hope to “find the Queen”, to win in the subway sweeps rather than being taken for suckers who will cheer any plan, but lose every game. It is far from clear whether the proposal is a “good deal” for Toronto, and there are huge future transit costs that are barely addressed.
The whole exercise is a political deal to bring peace, comparatively speaking, to the transit file which was needlessly fouled by Doug Ford’s insistence that he knows more about transit in Toronto than anyone else. Does Toronto take this as its last best chance to preserve some semblance of control over its transit future, or do we keep fighting for a better deal?
There are a lot of holes in this plan and severe implications both for the City’s finances and the future of Toronto’s transit system. Many questions need to be asked and answered, even if the result will be a whole new plan after provincial and municipal elections in 2022.
Ontario’s Transit Plans: Details Emerge in City Report
When Premier Doug Ford announced his new transit plan in April as part of his first budget, there was plenty of hype about provincial transit investment, but few details about what would be built or how far design had progressed beyond doodles on bar napkins. Four projects comprise the Ford plan:
- The “Ontario Line” from the Science Centre at Don Mills & Eglinton to Ontario Place replacing Toronto plans for the Relief Line
- The Richmond Hill extension of Line 1 Yonge
- The Scarborough Line 2 Danforth extension to Sheppard & McCowan with at least three stops rather than the one in the current Toronto plan
- A modified plan for the Eglinton West LRT extension with underground construction for part of the route east of Martin Grove
- Extension of the Sheppard subway east to McCowan to meet the northern end of Line 2
Information about these proposals came more from rumours than from specifics, notably from Metrolinx, the agency charged with planning and delivery of the scheme.
Staff from the City of Toronto and the TTC have been meeting with their provincial counterparts, and details begin to emerge in a staff report to Toronto’s Executive Committee.
The Ontario Line concept proposed by the Province is at an early stage of design. [p 5]
This is not a “shovel ready” project, nor is the revised Scarborough subway, in spite of claims that the Ontario line can be open by 2027. That is very much a political date based on the need to have relief capacity in place before new demand is added to the Line 1 Yonge route from the Richmond Hill extension. The government, knowing the votes available in York Region, needs to show progress on that extension, but actually operating it would totally overload the subway system without substantial diversion of ridership to a relief line.
Previous studies by Metrolinx foresaw a drop in ridership at the Bloor/Yonge choke point provided that a new line went at least to Eglinton rather than stopping at Danforth. This is not news, but the political change lies in recognition that a line to Eglinton is not some future, “Phase 2” option, but an essential part of reducing demand on Line 1. Whether the construction timing and possible opening dates for the Ontario and Richmond Hill lines can be achieved is quite another matter. In a political context, the important date is 2022, the next Provincial election. By that time, visible “progress” will be needed to shore up support for the government, but the target dates will be far enough off that the inevitable slippage will not yet be evident.
Public Consultation
In parallel with the technical work on provincial plans, the City of Toronto has launched a public participation campaign about the shift in responsibilities for transit between the municipal and provincial governments. This is all a bit vague at present because the details of what Queen’s Park actually intends remain rather vague. The government has given itself the power to take over projects completely or in part, and to seize Toronto assets with or without compensation. However, the financial details are murky including the problem of expected contribution to capital projects by other governments and the as-yet unaddressed question of cost sharing for day-to-day transit operations which includes a substantial component of running maintenance, not just driving the trains.
The City will bring a wider range of issues than a few new lines before the public for comment. Four public meetings are planned over the coming month:
Thursday, June 13, 6:30 to 8:30 p.m.
Father Serra Catholic School
111 Sun Row Drive, Etobicoke
Thursday, June 20, 6:30 to 8:30 p.m.
North York Memorial Community Hall
5110 Yonge Street, North York
Saturday, June 22, 10:30 a.m. to 12:30 p.m.
Scarborough Civic Centre
150 Borough Drive, Scarborough
Thursday, June 27, 6:30 to 8:30 p.m.
City Hall, Council Chamber
100 Queen Street West, Toronto
Although one might despair that the Ford government cares about or will listen to concerns by Toronto citizens, this consultation will be important if only to gauge overall public feeling. The challenge will be to conduct real consultation without having sessions hijacked by Ford Nation supporters.
Ontario’s 2019 Budget: Transit Effects in Toronto
The Ontario Government introduced its 2019 budget on April 11. The section on transit and transportation begins with the usual statements about the cost of congestion, and the economic benefit of transit and highways. Transit specifics focus on the recent Toronto subway announcement. Metrolinx/GO continues on its expansion path, but with more emphasis on what has been done than what is to come.
The Subway “Upload”
Ontario reiterated its intention to take ownership of the Toronto subway network, but it is now clear that this will be done in two parts. First will come responsibility for system expansion as announced on April 10 with the existing system assets to follow in 2020. This puts the more complex problem off nominally for a year, but that debate is really underway now with negotiations between the City of Toronto, TTC and province.
By separating the upload into two distinctive parts, the Province can begin building subway extensions and new lines immediately while giving proper due diligence to the state of repair of the existing assets and fulfilling its commitments to consultation under the Terms of Reference.
The Province remains steadfastly committed to the full upload of the TTC subway network. [p. 64]
That “due diligence” is the nub of any transfer. Past provincial statements imply that the cost of life cycle maintenance (major repairs and replacement, items found in the TTC’s capital budget) would shift to the province leaving day-to-day costs to the City of Toronto. The problem lies in the inevitable tug-of-war between transit expansion and state of good repair. Provincial Treasurer Vic Fedeli, speaking on CBC’s Metro Morning, claims that the investment in new transit lines more than offsets gas tax revenue promised by the former Liberal government. However, this leaves a major hole in planned funding for system upgrades.
Gas Tax Transfer
Fedeli claimed that the Gas Tax can only be used for specific type of spending, but this is not true. The money today goes partly to subsidize day-to-day operations and partly to capital for state-of-good-repair (SOGR). Across the province, few cities are building rapid transit expansions, and their gas tax allocation goes to operation and maintenance of existing systems. Fedeli, in parliamentary language, is “badly briefed”.
The gas tax transfer from Ontario to Toronto for 2018-2019 will be $185 million, and this was expected to double in stages over the next four years. This increase has been cancelled in the new Ontario budget.
Beginning in 2019, Ontario will gradually increase the municipal share of gas tax funds up to a total of four cents per litre in 2021-22. Based on the averages from the past 10 years, gas tax funding is estimated to be about $642 million in 2021-22. There will not be any increase in the tax that people in Ontario pay on gasoline.
Year 2018-19 2019-20 2020-21 2021-22 Municipal share (cents/litre) 2.0 2.5 3.0 4.0 Estimated funding (millions) $321 $401.3 $481.5 $642Source: Enhanced Gas Tax Program, Ontario Government Backgrounder, January 27, 2017
Note that the dollar funding above is for all of Ontario, not just for Toronto, although it gets the lion’s share due to its size.
The Province will not move forward with the previous government’s proposed changes to the municipal share of gas tax funding. The Province will continue to support municipalities through the existing Gas Tax program and ensure it continues to meet the needs of the people of Ontario in alignment with provincial priorities.
Over the next few months, the government will consult with municipalities to review the program parameters and identify opportunities for improvement. This review will be informed by the goals of responsible planning and a more sustainable government to ensure taxpayer dollars are being spent as effectively as possible. [p. 75]
Toronto allocates almost half, $91.6 million, to the TTC Operating Budget, leaving $93.4 million for capital in 2018-2019.
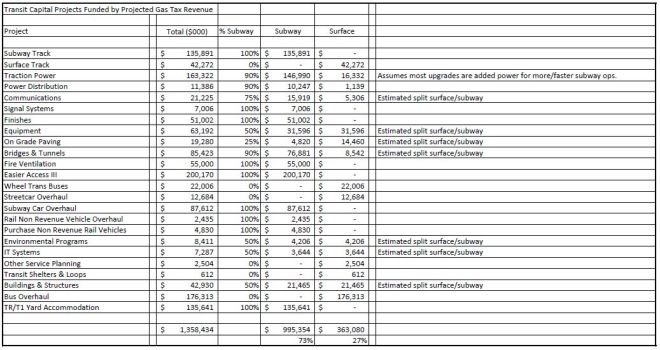
Planned spending based on federal and provincial gas tax transfers is summarized in the city’s 2019 budget papers. This document details the allocation of federal and provincial transfers planned over 2019-2028 with $1.358 billion broken out by TTC budget line. Note that this is less than the total that would have been expected over ten years because the “out years” of the TTC’c capital plan is constrained by city financing plans. Many projects are “below the line” in the budget, especially in the outer five years, and the rise in gas tax funding could have helped to bring some of these projects to approved, above the line status.
About 70% of planned provincial gas tax spending by Toronto is for assets that are subway related. If Ontario transfers responsibility for all of this to the provincial level, then this would offset the loss of expected gas tax. However, that depends on just what budget lines Ontario chooses to take on. When capital subsidies began under the Davis government, there was something of a shell game between Toronto and Queen’s Park over the classification of expenses because “capital” received at least a 50% subsidy while “operations” only got 16%. This sort of thing will bedevil negotiations between the two governments on funding of the uploaded subway system’s SOGR projects.
The table below summarizes the categories listed in the city’s budget and splits them between subway and surface networks. The breakdown is based on my experience in reviewing TTC budgets. Although some adjustment of percentages might be argued, the overall balance will not change much.
Ontario Announces Toronto Subway Plan
On April 10, 2019, Premier Doug Ford announced his government’s intentions to expand transit in Toronto. The plan includes:
- The “Ontario Line”, a rebranded and extended version of the Relief Line, will run from Don Mills and Eglinton to Ontario Place.
- The Yonge North Extension from Finch Station to Richmond Hill Centre
- The three-stop version of the Scarborough Subway Extension from Kennedy Station to Sheppard with stops at Lawrence East and Scarborough Town Centre
- Extension of the Sheppard Subway east from Don Mills Station to connect with the SSE at McCowan and Sheppard
- Extension of the Eglinton Crosstown west from Mount Dennis to Pearson Airport
Premier Doug Plays With Toronto’s Train Set
In the continuing circus which is the Ford Family Transit Plan, the provincial government has advised Toronto and the TTC of its priorities for rapid transit construction. The Province is quite firm that since it will be paying for these lines, it will call the shots.
This information broke in two letters dated March 22 and 26, 2019 from Michael Lindsay, Special Advisor to the Cabinet – Transit Upload, and Shelley Tapp, Deputy Minister of Transportation, together with a report from the Toronto City Manager, Chris Murray, dated March 26.
The Province has four priority projects, although some of the information about them is vague:
- A three-stop Scarborough Subway Extension [SSE]
- A Downtown Relief Line [DRL] of indefinite scope
- The Richmond Hill Extension of the Yonge Subway [YNE]
- Construction of the Eglinton West Crosstown LRT primarily underground rather than at grade
These are the only projects mentioned in the letters. By implication anything else is off of the table as far as provincial funding is concerned except for whatever the subway “upload” still under discussion might entail. More about that later.
The Province refers to “incongruencies between the province and city/TTC with respect to the design and delivery of priority projects”. Most of this should be no surprise given previous statements both by Doug Ford as a candidate, and rumblings from his supporters.
The March 22 letter arose from a March 8 meeting between Provincial, City and TTC representatives. Two things are clear:
- The Province was not paying attention to, or chose to ignore, information it received or should have been able to access easily through public channels.
- The City/TTC should have had some idea of what was coming down the pipe over two weeks ago, but there was no public hint of what was in store even with the subway upload on the Executive Committee and Council agendas. This is a classic case of “who knew what and when”, and a troubling question of whether the direction of provincial plans was withheld from public view for political expediency.
The March 22 letter makes statements that were revised on March 26, and which have provoked considerable comment as this story broke. Most astounding among these was:
Per our meeting of March 8, we were informed that the City’s preliminary cost estimates for both the Relief Line South and the Scarborough Subway Extension have significantly increased to nearly double or greater the figures released publicly.
On March 26, the Province wrote:
We acknowledge, in light of the helpful clarification you provided at our Steering Committee meeting [of March 25], that the city’s/TTC’s revised project cost estimates for the Relief Line South and Scarborough Subway Extension projects represent estimates in anticipation of formal work that will reflect greater specificity in design. We accept that the actual budget figures remain to be determined …
This bizarre pair of statements suggests that either:
- the Province was not really paying attention in the meeting of March 8 which led to the March 22 letter, or
- they really were, but that their first statement was guaranteed to blow every transit plan to smithereens if it were not retracted.
On March 26, they do not say they were wrong, merely that they were dealing with preliminary estimates.
That is a strange position considering that the SSE is on the verge of reaching a firm design number and budget to be reported in early April to Toronto Executive Committee and Council. The agenda publication date is April 2, and it is hard to believe that a firm estimate for the SSE does not already exist. As for the DRL South, that is in a more preliminary state, but if anything the numbers already published have been rather high.
The Scarborough Subway Extension
For the SSE, there are two conflicting proposals:
- City: One stop extension terminating at Scarborough Town Centre
- Province: Three stop extension “with the same terminus point”.
There is no reference to any potential connection with a Sheppard Subway extension. However, the March 26 letter contains this statement:
… we recognize that the city/TTC and province share the intention for a station to be located at Scarborough Centre. However, under the province’s preferred three-stop extension of Line 2, the project would proceed northward from the station at Scarborough Centre.
Given that the TTC’s alignment for STC station is itself on a north-south axis, it is unclear just what this remark refers to especially if STC is to be the terminus of the provincial project.
As I wrote recently in another article, there is an issue of equipment and storage required to allow the SSE to open with full service to STC. One potential source of “additional” cost could well be that works such as a new Line 2 yard at Kipling plus the rebuilding and/or replacement/expansion of the fleet are now counted as part of the overall project cost. This is precisely the sort of hidden cost I warned the Province would face when they started to understand the full scope of the TTC’s infrastructure requirements.
Whether this is the case remains to be seen, but with the Province taking responsibility for delivery of this project and planning to assume the cost of maintenance and expansion of the existing subway, they (or anyone else looking at funding the SSE) will be facing these costs as “add ons”.
One other concern is that there is no mention of capacity expansion for Line 2 either by way of station expansion at critical junction points nor of fleet expansion to allow more service once the line has Automatic Train Control [ATC].
Crosstown LRT Westward Extension
- City: A substantially at-grade extension from Mount Dennis westward, although there are references from recent public participation to the possibility of some grade separations.
- Province: A “significant portion of this extension” would be underground, an option “which has not been considered in a material way” as part of the current design.
The March 26 letter revised the characterization of the City’s work to date:
… we recognize that tunnelling options for the project have been considered as part of previous assessment, but that these options are not preferred by the city/TTC.
Again, one must wonder just what the province was doing at the March 8 meeting to have so botched their understanding of the work to date. The work already done is documented on the project’s website. I cannot help wondering how much the original provincial position was a product of political posturing by Etobicoke politicians. Such a gaffe does no credit to Michael Lindsay and his team.
It is no secret that there is strong political pressure from politicians in Etobicoke for the LRT line to be buried as much as possible, and it is no surprise that the Province would embrace this.
Missing, however, is any reference to the portion of the line west of the Toronto-Mississauga boundary and specifically the link into Pearson Airport. Will this be part of the Provincial project?
Relief Line South
The text in this section has provoked speculation in various fora, both the mainstream and social media.
Planning work undertaken by the TTC contemplates utilizing existing technology … the province would propose … a truly unique transit artery spanning the city that is not beholden to the requirements of the technologically-outdated Line 2.
On March 26, the Province changed their tune, a bit:
… we recognize that the city/TTC is contemplating a different technology for the project than that currently deployed for Line 2.
It is hilarious to see Line 2 described as “technologically outdated” when it is this line that the Province plans to extend to STC. At the risk of peering into a murky crystal ball, I will venture an interpretation of what is being said here.
The “outdated technology” is the current fleet of T1 trains which do not have ATC installed. Moreover, TTC plans would not see ATC operation on Line 2 for at least a decade unless the existing fleet is retrofitted.
The TTC has always intended that the DRL would use modern technology, and again I cannot help wonder whether the Provincial reps were paying attention at their March 8 meeting with the TTC. This information is not difficult to obtain. They could even read my blog if they don’t want to spend time wading through official documents, but possibly it is simpler just to slag the municipal agency in a time-honoured Queen’s Park tradition.
The Province wants the DRL to be completely free-standing in that it would not depend on Line 2 and the existing yard at Greenwood, but would be built completely separate from the existing subway network. Moreover, “alternate delivery methods” would be used for this project, a clear indication that this would be a privately designed, built, financed and operated line much as the Crosstown was intended to be before a deal was worked out to let the TTC drive the trains, at least for a time.
The reference to a “transit artery spanning the city” implies something much more extensive than the DRL South from Pape to Osgoode Station, but what exactly this might be is anyone’s guess. It could be a truly different technology, something like Skytrain in Vancouver (which itself has two separate technologies). The construction technique could be changed from the proposed double bore to a single bore line, especially if the vehicle cross-section were smaller. The alignment and station locations could be changed. Any of these and more is possible, but we don’t know. As this is to be an AFP project, a blanket of confidentiality hides everything.
Yonge Northern Extension to Richmond Hill
The primary provincial interest here is in getting the line built as quickly as possible with planning and design work for the YNE and DRL to progress in parallel so that “the in-service date for the extension is fast tracked to the greatest extent possible”.
There is no mention of capacity issues on the existing Line 1 including the need for more trains, nor of the expansion needed at key stations to handle larger volumes of passengers.
Jumping the Gun on Uploading?
The March 26 letter clearly attempts to correct misapprehensions from the March 22 missive. These were presumably communicated privately at or before the March 25 meeting.
The Province is supposed to be engaged, in good faith, in discussions with the City and TTC about how or if it would take control of subway assets and what that control, and associated responsibility for ongoing costs, would entail. One might easily read the March 22 letter as showing that the Province has made up their mind, and all that remains is to “drop the other shoe” with respect to everything beyond the “priority projects”.
On March 26, the Province talks at length about “our priority transit expansion projects”. This has always been the political red meat in that new lines translate into votes, or so the Ford faction hopes. The myriad of details in looking after the existing system do not lend themselves to coverage in a two-page letter, let alone simplistic posturings by politicians eager to show the wisdom of their plans.
The March 26 letter does not discuss any aspect of the existing system including asset transfers or financial commitments. That’s not to say the Province has not considered this, but no details are public yet. That will be a critical issue for Toronto because the degree to which the Province actually plans to pay for the existing subway system will affect future City budgets.
There is a myth that fare revenues will cover off the City’s share, but we don’t actually know which aspects of subway “maintenance” will remain in the City/TTC hands. There are two separate budgets, capital and operating, but there has been no statement of how these will be divided. Although there could be a one-time payment for the capital value of the system, this begs two questions. First, who benefits from appreciation of property value as subway lands are repurposed/redeveloped. Second, what does the City do when the nest egg from selling the subway, assuming they even have anything left over after discharging subway-related debt, is used up.
Another issue to be decided is how the split in ownership and financial responsibility will affect gas tax funding that now flows from both the Provincial and Federal governments, over $300 million in 2018. How much of this will Toronto lose, and what will be offset by costs the Province will assume?
Further System Expansion
The correspondence from the Province is silent on many projects including:
- Eglinton East LRT
- Waterfront LRT
- Finch LRT extension to Pearson Airport
- Sheppard Subway extension to STC
- SmartTrack and GO Transit Service Expansion
Eglinton East and Waterfront would, assuming a City/Province divide on surface/subway projects, lie clearly in the City’s court, while any extension of Line 4 Sheppard would be a Provincial project. Oddly, Eglinton East would be a “City” extension of a provincially-owned line, the Crosstown.
The Finch LRT occupies an odd place as a surface line that for historical reasons is being delivered by the Province. Moreover, an airport extension would lie partly outside of Toronto. Who knows what the fate of this will be.
To Be Continued …
The provincial letters have dropped into the Council meeting planned for March 27, and we can expect a great deal of debate, if not clarity, in coming days.
At a minimum, the Province owes Toronto a better explanation of just what they intend with their view of projects. This information should not be “confidential” because we are simply asking “what exactly do you want to do”. This is particularly critical for the Downtown Relief Line whatever the “unique transit artery” it might become.
SmartTrack and GO are important components because they will add to the “local” network within Toronto and could be part of the “relief” efforts that will span multiple projects. SmartTrack is a City project, and we are about to learn just how much it will cost Toronto to put a handful of John Tory branded stations on GO’s Kitchener and Stouffville corridors. SmartTrack also takes us into the tangled net of fare “integration” and the degree to which Toronto riders will pay more so that riders from beyond the City can have cheaper fares.
Finally, there is the question of operating costs. The Ford mythology includes a claim that subways break even, and in the uploading schemes mooted to date, there is an assumption that Toronto will still operate the subway network and pay for its day-to-day costs out of farebox revenue. Even if that were true today, much of the proposed network expansion will not gain revenue to cover its operating cost, and Toronto will face increased outlay. There is still no proposal, let alone an agreement, about the operating costs of the Crosstown and Finch LRT lines from which we might guess at how the combination of three new lines/extensions will affect the subsidy call against Toronto’s tax base.
With clear errors in the March 22 letter, the Province showed that it cannot be trusted to propose policy based on fair and accurate characterization of Toronto’s transit system. One would hope that a “Special Advisor” backed by the boffins at Metrolinx and the Ministry of Transportation might be able to avoid screw-ups. When the Province puts forward a scheme to take over part of the TTC, their rationale should be based on transparent and accurate information. Alas, recent experience in other portfolios shows that this will not happen, and dogma will trump common sense.



